题目内容
正弦交变电源与电阻R、交流电压表、交流电流表按照图1所示的方式连接,R=200Ω。图2是交变电源输出电压u随时间t变化的图象。则:![]()
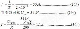
(1)此交流电的频率为多少?
(2)输出电压最大值为多少?
(3)电流表的示数为多少?
略
解析![]()
练习册系列答案
相关题目
正弦交变电源与电阻R、交流电压表按照图l所示的方式连接,R=10Ω,交流电压表的示数是10V.图2是交变电源输出电压u随时间t变化的图象.则( )

A、通过R的电流iR随时间t变化的规律是iR=
| ||
B、通过R的电流iR随时间t变化的规律是iR=
| ||
| C、电阻R消耗的功率是20W | ||
| D、在一个周期时间内电阻R上产生的焦耳热为20J |
A、通过R的电流iR随时间t变化的规律是iR=
| ||
B、通过R的电流iR随时间t变化的规律是iR=
| ||
C、R两端的电压uR随时间t变化的规律是uR=5
| ||
D、R两端的电压uR随时间t变化的规律是uR=10
|