题目内容
(1)运动员在斜面上滑行的加速度的大小;
(2)若运动员不触及障碍物,他从斜面上起跳后到落至水平面的过程所经历的时间;
(3)运动员为了不触及障碍物,他从A点沿水平方向起跳的最小速度.
【答案】分析:(1)运动员在斜面上滑行的过程中,受到重力、斜面的支持力和滑动摩擦力,根据牛顿第二定律求出加速度.
(2)运动员从斜面上起跳后做平抛运动,沿竖直方向做自由落体运动,由高度H求出时间.
(3)运动员为了不触及障碍物,沿水平方向起跳后竖直下落高度为H-h时,水平距离至少为Hcot53°+L,再由这两个条件求出他从A点沿水平方向起跳的最小速度.
解答:解:(1)设运动员连同滑板的质量为m,运动员在斜面上滑行的过程中,根据牛顿第二定律得
mgsin53°-μmgcos53°=ma
得到运动员在斜面上滑行的加速度 a=g(sin53°-μcos53°)=7.4m/s2
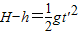
(2)运动员从斜面上起跳后做平抛运动,沿竖直方向做自由落体运动,根据自由落体公式
解得
=0.8s
(3)为了不触及障碍物,运动员以速度v沿水平方向起跳后竖直下落高度为H-h时,他沿水平方向的运动的距离为Hcot53°+L,设他在这段时间内运动的时间为t′,则
Hcot53°+L=vt′
解得 v=6.0m/s
答:(1)运动员在斜面上滑行的加速度的大小为7.4m/s2;
(2)若运动员不触及障碍物,他从斜面上起跳后到落至水平面的过程所经历的时间为0.8s;
(3)运动员为了不触及障碍物,他从A点沿水平方向起跳的最小速度为6.0m/s.
点评:本题是实际问题,考查应用物理知识解决实际问题的能力.对于平抛运动,关键分析两个方向的分位移大小.
(2)运动员从斜面上起跳后做平抛运动,沿竖直方向做自由落体运动,由高度H求出时间.
(3)运动员为了不触及障碍物,沿水平方向起跳后竖直下落高度为H-h时,水平距离至少为Hcot53°+L,再由这两个条件求出他从A点沿水平方向起跳的最小速度.
解答:解:(1)设运动员连同滑板的质量为m,运动员在斜面上滑行的过程中,根据牛顿第二定律得
mgsin53°-μmgcos53°=ma
得到运动员在斜面上滑行的加速度 a=g(sin53°-μcos53°)=7.4m/s2
(2)运动员从斜面上起跳后做平抛运动,沿竖直方向做自由落体运动,根据自由落体公式
解得
(3)为了不触及障碍物,运动员以速度v沿水平方向起跳后竖直下落高度为H-h时,他沿水平方向的运动的距离为Hcot53°+L,设他在这段时间内运动的时间为t′,则
Hcot53°+L=vt′
解得 v=6.0m/s
答:(1)运动员在斜面上滑行的加速度的大小为7.4m/s2;
(2)若运动员不触及障碍物,他从斜面上起跳后到落至水平面的过程所经历的时间为0.8s;
(3)运动员为了不触及障碍物,他从A点沿水平方向起跳的最小速度为6.0m/s.
点评:本题是实际问题,考查应用物理知识解决实际问题的能力.对于平抛运动,关键分析两个方向的分位移大小.
练习册系列答案
相关题目