题目内容
将一个物体以10m/s的速度从15m的高度水平抛出,求落地时她的速度大小和速度与地面的夹角?(不计空气阻力,取g=10m/s2)
【答案】分析:平抛运动在水平方向上做匀速直线运动,在竖直方向上做自由落体运动,水平方向上的速度已知,根据速度位移公式Vy2-0=2gh 求出竖直方向上的分速度,从而求出速度方向与地面的夹角.
解答:解:落地时在水平方向的分速度是
Vx=V=10m/s
竖直方向由匀变速运动规律知
Vy2-0=2gh
由此得
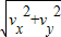
所以落地速度为:v=
=20m/s
若速度方向与地面的夹角用θ来表示,则
tanθ=
所以θ=60°
答:落地时速度大小为20m/s;度方向与地面的夹角为60°
点评:解决本题的关键知道平抛运动在水平方向上做匀速直线运动,在竖直方向上做自由落体运动.分别求出水平分速度和竖直分速度,即可知道速度方向与地面的夹角.
解答:解:落地时在水平方向的分速度是
Vx=V=10m/s
竖直方向由匀变速运动规律知
Vy2-0=2gh
由此得
所以落地速度为:v=
若速度方向与地面的夹角用θ来表示,则
tanθ=
所以θ=60°
答:落地时速度大小为20m/s;度方向与地面的夹角为60°
点评:解决本题的关键知道平抛运动在水平方向上做匀速直线运动,在竖直方向上做自由落体运动.分别求出水平分速度和竖直分速度,即可知道速度方向与地面的夹角.
练习册系列答案
相关题目