ÌâÄ¿ÄÚÈÝ
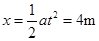
ÈçͼËùʾ£¬Ë®Æ½´«ËÍ´øABµÄÓÒ¶ËÓëÔÚÊúÖ±ÃæÄÚµÄÓÃÄÚ¾¶¹â»¬µÄ¸Ö¹ÜÍä³ÉµÄ¡°9¡±Ðι̶¨¹ìµÀÏà½Ó£¬¸Ö¹ÜÄÚ¾¶ºÜС¡£´«ËÍ´øµÄÔËÐÐËÙ¶Èv0=4.0m/s£¬½«ÖÊÁ¿m=1kgµÄ¿É¿´×öÖʵãµÄ»¬¿éÎÞ³õËٵطÅÔÚ´«ËÍ´øµÄA¶Ë¡£ÒÑÖª´«ËÍ´ø³¤¶ÈL= 4.0 m£¬ÀëµØ¸ß¶Èh=0.4 m£¬¡°9¡±×ÖÈ«ó{H= 0.6 m£¬¡°9¡±×ÖÉϰ벿·Ö3/4Ô²»¡µÄ°ë¾¶R=0.1m£¬»¬¿éÓë´«ËÍ´ø¼äµÄ¶¯Ä¦²ÁÒòÊý¦Ì=0.2£¬ÖØÁ¦¼ÓËÙ¶Èg=10 m/s2£¬ÊÔÇó£º
![]()
£¨1£©»¬¿é´Ó´«ËÍ´øA¶ËÔ˶¯µ½B¶ËËùÐèÒªµÄʱ¼ä£»
£¨2£©»¬¿é»¬µ½¹ìµÀ×î¸ßµãCʱ¶Ô¹ìµÀ×÷ÓÃÁ¦£»
£¨3£©»¬¿é´ÓDµãÅ׳öºóµÄˮƽÉä³Ì¡£
£¨1£©2s£¨2£©30N£¨3£©1.1,m
¡¾½âÎö¡¿
ÊÔÌâ·ÖÎö£º£¨1£©»¬¿éÔÚ´«ËÍ´øÉϼÓËÙÔ˶¯Ê±£¬ÓÉÅ£¶ÙµÚ¶þ¶¨ÂÉÖª¦Ìmg=ma£¬
½âµÃ
m/s2
¼ÓËÙµ½Óë´«ËÍ´øÏàͬµÄËÙ¶ÈËùÐèÒªµÄʱ¼ä
s
»¬¿éµÄÎ»ÒÆ
£¬´Ëʱ»¬¿éÇ¡ºÃµ½´ïB¶Ë¡£
»¬¿é´Ó´«ËÍ´øAµçµ½B¶ÎµÄʱ¼äΪ2s
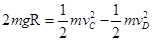
£¨2£©»¬¿é´ÓBµ½CµÄ¹ý³ÌÓ¦Óö¯Äܶ¨Àí£¬ÓÐ![]()
ÔÚ×î¸ßµãCµã£¬Ñ¡ÏòÏÂΪÕý·½Ïò£¬ÓÐÅ£¶ÙµÚ¶þ¶¨ÂɿɵÃ
,
ÁªÁ¢¿ÉµÃ![]()
ÓÉÅ£¶ÙµÚÈý¶¨Âɵ㬻¬¿é»¬µ½¹ìµÀ×î¸ßµãCʱ¶Ô¹ìµÀ×÷ÓÃÁ¦µÄ´óС
NºÍ·½ÏòÊúÖ±ÏòÉÏ¡£
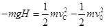
£¨3£©»¬¿éÓÉCµ½D¹ý³ÌÓ¦Óö¯Äܶ¨Àí£¬ÓÐ![]()
Dµãµ½Ë®Æ½ÃæµÄ¸ß¶È
=0.8m
ÓÉÆ½Å×Ô˶¯¹æÂɵÃ
£¬![]()
½âµÃ»¬¿é´ÓDµãÅ׳öºóµÄˮƽÉä³Ì
¿¼µã£º ¿¼²éÁ˶¯Äܶ¨Àí£¬Æ½Å×Ô˶¯£¬Å£¶ÙµÚ¶þ¶¨ÂÉ£¬ÔȱäËÙÖ±ÏßÔ˶¯¹æÂÉ
A¡¢Ä¦²ÁÁ¦¶ÔÎïÌå×ö¹¦Îª
| ||
| B¡¢Ä¦²ÁÁ¦¶ÔÎïÌå×ö¹¦Îª¦Ìmgs | ||
| C¡¢´«ËÍ´ø¿Ë·þĦ²ÁÁ¦×ö¹¦Îª¦Ìmgs | ||
| D¡¢ÒòĦ²Á¶øÉúµÄÈÈÄÜΪ2¦Ìmgs |