题目内容
某学习小组的同学利用如图所示装置验证动能定理,按如图所示组装好器材,在未装沙子的情况下释放小桶,滑块仍处于静止状态。你若是小组中的一位成员,要完成该实验。
(1)你认为首先要进行的步骤是________________________;
(2)实验时为了保证“滑块受到的合力可认为与沙和沙桶的总重力大小基本相等”,沙和沙桶的总质量m与滑块的质量M应满足的关系是_____________;
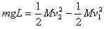
(3)实验时,让沙桶带动滑块加速运动,用打点计时器记录其运动情况,在打点计时器打出的纸带上取两点,测出这两点的间距L和这两点的速度大小v1与v2(v1<v2)。则本实验最终要验证的数学表达式为_______________(用题中的字母表示)。
(2)实验时为了保证“滑块受到的合力可认为与沙和沙桶的总重力大小基本相等”,沙和沙桶的总质量m与滑块的质量M应满足的关系是_____________;
(3)实验时,让沙桶带动滑块加速运动,用打点计时器记录其运动情况,在打点计时器打出的纸带上取两点,测出这两点的间距L和这两点的速度大小v1与v2(v1<v2)。则本实验最终要验证的数学表达式为_______________(用题中的字母表示)。
(1)平衡摩擦力
(2)m<<M
(3)
(2)m<<M
(3)
练习册系列答案
相关题目