题目内容

1928年,德国物理学家玻特用α粒子轰击轻金属铍时,发现有一种贯穿能力很强的中性射线.查德威克测出了它的速度不到光速的十分之一,否定了是γ射线的看法,他用这种射线与氢核和氮核分别发生碰撞,求出了这种中性粒子的质量,从而发现了中子.

①请写出α粒子轰击铍核()得到中子的方程式.

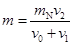
②若中子以速度v0与一质量为mN的静止氮核发生碰撞,测得中子反向弹回的速率为v1,氮核碰后的速率为v2,则中子的质量m等于多少?

 

【答案】

      ②

【解析】

试题分析:①

②由动量守恒定律有  ,解得 

考点:发现中子的核反应方程及动量守恒定律。

 

练习册系列答案
相关题目

违法和不良信息举报电话:027-86699610 举报邮箱:58377363@163.com

精英家教网