题目内容

内壁光滑的导热气缸竖直浸放在盛有冰水混合物的水槽中,用不计质量的活塞封闭压强为1.0×105 Pa、体积为2.0×10-3 m3的理想气体.现在活塞上方缓缓倒上沙子,使封闭气体的体积变为原来的一半,然后将气缸移出水槽,缓慢加热,使气体温度变为127℃.

(1)求气缸内气体的最终体积;

(2)在P-V图上画出整个过程中气缸内气体的状态变化.(大气压强为1..0×105 Pa)

答案:
解析:

  答案:(1)1.47×103 m3

  (2)见解析

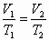
  解析:(1)在活塞上方倒沙的过程中温度保持不变p0V0=p1V1

  由①式解得p1×1.0×105 Pa=2.0×105 Pa

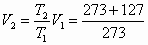
  在缓慢加热到127℃的过程中压强保持不变

    ③

  由③式解得

  ×1.0×10-3 m3≈1.47×102 m3

  (2)如图所示.


练习册系列答案
相关题目

违法和不良信息举报电话:027-86699610 举报邮箱:58377363@163.com

精英家教网