题目内容
汞原子的能级如图所示,现让光子能量为E的一束光照射到大量处于基态的汞原子上,汞原子能发出3种不同频率的光,那么入射光光子的能量为______eV,发出光的最大波长为______m.
【答案】分析:根据汞原子能发出3种不同频率的光,通过数学的组合公式
求出汞原子处于第几能级,抓住能级间跃迁吸收或辐射的光子能量等于两能级的能级差进行分析.
解答:解:根据
知,n=3,则吸收的光子能量△E=-2.7+10.4eV=7.7eV.
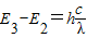
由n=3跃迁到n=2时辐射的光子能量最小,波长最长,有:
,代入数据有(-2.7+5.5)×1.6×10-19=
,解得λ=4.4×10-7m
故答案为:7.7,4.4×10-7
点评:解决本题的关键掌握能级间跃迁所满足的规律,即
.
解答:解:根据
由n=3跃迁到n=2时辐射的光子能量最小,波长最长,有:
故答案为:7.7,4.4×10-7
点评:解决本题的关键掌握能级间跃迁所满足的规律,即
练习册系列答案
相关题目