题目内容

如图所示,在竖直平面内,由倾斜轨道AB、水平轨道BC和半圆形轨道CD连接而成的光滑轨道,AB与BC的连接处是半径很小的圆弧,BC与CD相切,圆形轨道CD的半径为R.质量为m的小物块从倾斜轨道上距水平面高为h=2.5 R处由静止开始下滑.

求:

(1)小物块通过B点时速度vB的大小;

(2)小物块通过圆形轨道最低点C时圆形轨道对物块的支持力F的大小;

(3)试通过计算说明,小物块能否通过圆形轨道的最高点D.

答案:
解析:

  解:(1)物块从点运动到点的过程中,由机械能守恒得

   1分

  解得: 1分

  (2)物块从做匀速直线运动

  

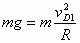
  物块通过圆形轨道最低点时,做圆周运动,由牛顿第二定律有:

   1分

   1分

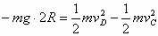
  (3)设物块能从点运动到点,由动能定理得:

   1分

  解得: 1分

  物块做圆周运动,通过圆形轨道的最高点的最小速度设为,由牛顿第二定律得:

   1分

   1分

  可知物块能通过圆形轨道的最高点. 1分


练习册系列答案
相关题目

违法和不良信息举报电话:027-86699610 举报邮箱:58377363@163.com

精英家教网