题目内容
要求摩托车由静止开始在尽量短的时间内走完一段直道,然后驶入一段半圆形的弯道,但在弯道上行驶时车速不能太快,以免因离心作用而偏出车道.求摩托车在直道上行驶所用的最短时间.有关数据见表格.(提示:可用图象法解)| 启动加速度a1 | 4m/s2 |
| 制动加速度a2 | 6m/s2 |
| 直道最大速度v1 | 40m/s |
| 弯道最大速度v2 | 18m/s |
| 直道长度s | 243m |
【答案】分析:直道的长度是一定的,当达到最大速度之后再减速的总的位移的大小要大于直道的长度,即摩托车不能达到最大的速度,否则达到弯道时就要偏出车道;
最短的时间应该是摩托车以最大的加速度加速之后接着以最大的加速度减速运动,达到弯道时的速度恰好为弯道最大速度v2,根据加速和减速的位移的关系可以求得时间的大小.
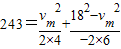
解答:解:设最大速度为Vm,则

代入数据
解得vm=36m/s,
所以加速时间为
减速时间为:
所以在直道上运动的最短时间是t=t1+t2=9s+3s=12s
答:摩托车在直道上行驶所用的最短时间是12s.
点评:摩托车先加速接着再减速,由位移的关系可以求得结果,解本题的关键是分析清楚摩托车的运动的过程.
最短的时间应该是摩托车以最大的加速度加速之后接着以最大的加速度减速运动,达到弯道时的速度恰好为弯道最大速度v2,根据加速和减速的位移的关系可以求得时间的大小.
解答:解:设最大速度为Vm,则
代入数据
解得vm=36m/s,
所以加速时间为
减速时间为:
所以在直道上运动的最短时间是t=t1+t2=9s+3s=12s
答:摩托车在直道上行驶所用的最短时间是12s.
点评:摩托车先加速接着再减速,由位移的关系可以求得结果,解本题的关键是分析清楚摩托车的运动的过程.
练习册系列答案
相关题目
要求摩托车由静止开始在尽量短的时间内走完一段直道,然后驶入一段半圆形的弯道,但在弯道上行驶时车速不能太快,以免因离心作用而偏出车道。求摩托车在直道上行驶所用的最短时间.有关数据见表格。
| 启动加速度大小a1 | 4 m/s2 |
| 制动加速度大小a2 | 8 m/s2 |
| 直道最大速度v1 | 40 m/s |
| 弯道最大速度v2 | 20 m/s |
| 直道长度 s | 218 m |