题目内容

如图所示,木球A连同镶着的铁钉的质量为100g,用长0.5m的细线悬于天花板的O点,现把线拉至水平无初速度释放,摆至最低点时与一质量为100g的木球B相碰,并钉在一起.假设铁钉的质量为1g,损失的机械能全部被铁钉吸收,求铁钉升高的温度.已知铁钉的比热为4.62×J/kg·℃.(g=10m/)

答案:
解析:

  解:设A球摆至最低点的速度为,由机械能守恒定律得:=mgL,

  设A,B相碰后共同速度为v,根据动量守恒定律得:m=2mv,v=

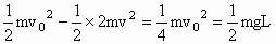
  碰后减少的机械能为

  ΔE=

  根据能的转化和守恒定律得ΔE=cΔt,

  得Δt=℃=0.54℃.


练习册系列答案
相关题目

违法和不良信息举报电话:027-86699610 举报邮箱:58377363@163.com

精英家教网