题目内容
人造地球卫星绕地球做匀速圆周运动,假如卫星的向心加速度减小到原来的1/16,卫星仍做匀速圆周运动.则( )A.卫星的线速度减小到原来的
B.卫星的角速度减小到原来的
C.卫星的周期增大到原来的8倍
D.卫星离地面的高度增大到原来的4倍
【答案】分析:根据万有引力提供向心力得出向心加速度与轨道半径的关系,再根据线速度、角速度、周期与轨道半径的关系,得出这些物理量的变化.
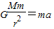
解答:解:根据
得,a=
,向心加速度变为原来的
,则轨道半径变为原来的4倍,高度不是4倍关系.
根据
,知v=
,ω=
,T=
,轨道半径变为原来的4倍,知线速度变为原来的
,角速度变为原来的
,周期变为原来的8倍.故C正确,A、B、D错误.
故选C.
点评:解决本题的关键掌握万有引力提供向心力这一理论,知道线速度、角速度、周期、加速度与轨道半径的关系.
解答:解:根据
根据
故选C.
点评:解决本题的关键掌握万有引力提供向心力这一理论,知道线速度、角速度、周期、加速度与轨道半径的关系.
练习册系列答案
相关题目
关于人造地球卫星,下列说法正确的是
| A.运行的轨道半径越大,线速度也越大 |
| B.其发射速度可以达到16.7 km/s |
| C.卫星绕地球做匀速圆周运动时的速度不能大于7.9 km/s |
| D.卫星在降落过程中向下减速时处于超重状态 |