题目内容
如图所示,电荷量为Q1、Q2的两个正点电荷分别置于A点和B点.在以AB为直径的光滑绝缘半圆环上,穿着一个带电小球(可视为点电荷,重力可忽略),若带电小球在P点保持静止,则该小球带 电荷(选填“正”或“负”或“正或负”),设这时连线PA与AB的夹角为α,则tan α= (用Q1、Q2表示).
【答案】分析:对带电小球进行受力分析,由于不考虑重力,因此根据平衡条件可知,小球受力在切线方向上的合力为零,据此结合数学关系列方程即可正确求解.
解答:解:如果小球带负电荷,对小球受力分析受到可得,小球受到的电场力指向正电荷,圆环对小球的支持力沿着圆心向外,三个力可以平衡,
如果小球带正电荷,受到的电场力有AB指向小球,圆环对小球的支持力沿着指向圆心,这三个力也可以平衡.
所以小球可以带正电也可以负电.
假设小球带正电,对小球进行受力分析如图所示:
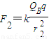
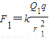
根据库仑定律有:
,r1=Lcosα…①
,r2=Lsinα… ②
根据平衡条件有:
F1sinα=F2cosα…③
联立①②③解得:tan α=
.
故答案为:正或负,
点评:本题在电场中考查了物体的平衡,对小球受力分析是解决本题的关键,注意根据平衡条件列方程,应用数学知识的求解即可.
解答:解:如果小球带负电荷,对小球受力分析受到可得,小球受到的电场力指向正电荷,圆环对小球的支持力沿着圆心向外,三个力可以平衡,
如果小球带正电荷,受到的电场力有AB指向小球,圆环对小球的支持力沿着指向圆心,这三个力也可以平衡.
所以小球可以带正电也可以负电.
根据库仑定律有:
根据平衡条件有:
F1sinα=F2cosα…③
联立①②③解得:tan α=
故答案为:正或负,
点评:本题在电场中考查了物体的平衡,对小球受力分析是解决本题的关键,注意根据平衡条件列方程,应用数学知识的求解即可.
练习册系列答案
相关题目