题目内容
一物体做匀变速直线运动.当t=0时,物体的速度大小为12 m/s,方向向东,当t=2 s时,物体的速度大小为8 m/s,方向仍向东,则当t为多少时,物体的速度大小变为2 m/s
A.3 s
B.5 s
C.7 s
D.9 s
答案:BC
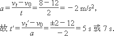
解析:
解析:
|
|
练习册系列答案
相关题目
题目内容
一物体做匀变速直线运动.当t=0时,物体的速度大小为12 m/s,方向向东,当t=2 s时,物体的速度大小为8 m/s,方向仍向东,则当t为多少时,物体的速度大小变为2 m/s
A.3 s
B.5 s
C.7 s
D.9 s
|
|