题目内容
如图所示,(a)图表示光滑平台上,物体A以初速度v滑到上表面粗糙的水平小车上,车与水平面间的动摩擦因数不计,(b)图为物体A与小车B的v-t图象,由此可知( )A.小车上表面长度
B.物体A与小车B的质量之比
C.A与小车B上表面的动摩擦因数
D.小车B获得的动能
【答案】分析:当A滑上B后,在滑动摩擦力作用下,A做匀减速直线运动,B做匀加速直线运动,最终以共同速度v1匀速运动,根据动量守恒定律求解质量比,根据速度时间图象的面积表示位移可以求得A相对于B的位移,根据能量守恒可以确定动摩擦因数,因为不知道B车质量,所以不能求得B的动能.
解答:解:A、由图象可知,AB最终以共同速度v1匀速运动,不能确定小车上表面长度,故A错误;
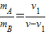
B、由动量守恒定律得,mA(v-v1)=mBv1,解得:
,故可以确定物体A与小车B的质量之比,故B正确;
C、由图象可以知道A相对小车B的位移△x=
vv1,根据能量守恒得:μmAg
mA
-
,根据B中求得质量关系,可以解出动摩擦力因素,故C正确;
D、由于小车B的质量不可知,故不能确定小车B获得的动能,故D错误.
故选:BC
点评:本题主要考查了动量守恒定律、能量守恒定律的直接应用,要求同学们能根据图象得出有效信息,难度适中.
解答:解:A、由图象可知,AB最终以共同速度v1匀速运动,不能确定小车上表面长度,故A错误;
B、由动量守恒定律得,mA(v-v1)=mBv1,解得:
C、由图象可以知道A相对小车B的位移△x=
D、由于小车B的质量不可知,故不能确定小车B获得的动能,故D错误.
故选:BC
点评:本题主要考查了动量守恒定律、能量守恒定律的直接应用,要求同学们能根据图象得出有效信息,难度适中.
练习册系列答案
相关题目