题目内容
如图所示,两根足够长的固定的平行金属导轨位于同一水平面内,两导轨间的距离为L,导轨上面横放着两根导体棒ab和cd,构成矩形回路,两根导体棒的质量皆为m,电阻皆为R,回路中其余部分的电阻可不计.在整个导轨平面内都有竖直向上的匀强磁场,磁感应强度为B.设两导体棒均可沿导轨无摩擦地滑行,开始时,棒cd静止,棒ab有指向棒cd的初速度v,若两导体棒在运动中始终不接触,求:(1)在运动中产生的焦耳热最多是多少?
(2)当ab棒的速度变为初速度的3/4时,cd棒的加速度是多少?
【答案】分析:本题中两根导体棒的运动情况:ab棒向cd棒运动时,两棒和导轨构成的回路面积变小,磁通量发生变化,于是产生感应电流.ab棒受到的与运动方向相反的安培力作用作减速运动,cd棒则在安培力作用下作加速运动.在ab棒的速度大于cd棒的速度时,回路总有感应电流,ab棒继续减速,cd棒继续加速,两棒速度达到相同后,回路面积保持不变,磁通量不变化,不产生感应电流,两棒以相同的速度v作匀速运动,由于平行金属导轨位于同一水平面且两棒均可沿导轨无摩擦地滑行,故由两棒组成的系统所受的合外力为零,系统动量守恒mv=2mv,
,这是第一问再由能量守恒求出焦耳热的关键;第二问设ab棒的速度变为
时,cd棒的速度为v',先由动量守恒
求得
,再由动生电动势公式E=BLv确定回路总电动势
,电路知识回路中的电流为
,磁场知识通电导线在磁场中受安培力F=BIL,确定此时cd棒所受的安培力为
,最后由牛顿第二定律F=ma求出cd棒的加速度.
解答:解:(1)从开始到两棒达到相同速度v的过程中,两棒的总动量守恒,有 mv=2mv,
根据能量守恒定律,整个过程中产生的焦耳热
在运动中产生的焦耳热最多是
(2)设ab棒的速度变为
时,cd棒的速度为v',则由动量守恒可知
解得
此时回路中的电动势为
此时回路中的电流为
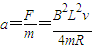
此时cd棒所受的安培力为
由牛顿第二定律可得,cd棒的加速度
cd棒的加速度大小是
,方向是水平向右.
点评:第一问是动量守恒定律、牛顿第二定律及能量守恒定律在电磁感应现象中的应用问题,分析两棒组成的系统在运动过程中是不是合外力为零或者内力远大于外力的系统总动量守恒的条件,从而为确定两棒最后的末速度找到解决途径是关键,之后分析这类电磁感应现象中的能量转化较易:系统减少的动能转化为回路的焦耳热;第二问求棒的瞬时加速度问题较为复杂:是动生电动势、动量守恒定律、牛顿第二定律及闭合电路欧姆定律综合的力电综合问题,故本题属于难题.
解答:解:(1)从开始到两棒达到相同速度v的过程中,两棒的总动量守恒,有 mv=2mv,
根据能量守恒定律,整个过程中产生的焦耳热
在运动中产生的焦耳热最多是
(2)设ab棒的速度变为
此时回路中的电动势为
此时回路中的电流为
此时cd棒所受的安培力为
由牛顿第二定律可得,cd棒的加速度
cd棒的加速度大小是
点评:第一问是动量守恒定律、牛顿第二定律及能量守恒定律在电磁感应现象中的应用问题,分析两棒组成的系统在运动过程中是不是合外力为零或者内力远大于外力的系统总动量守恒的条件,从而为确定两棒最后的末速度找到解决途径是关键,之后分析这类电磁感应现象中的能量转化较易:系统减少的动能转化为回路的焦耳热;第二问求棒的瞬时加速度问题较为复杂:是动生电动势、动量守恒定律、牛顿第二定律及闭合电路欧姆定律综合的力电综合问题,故本题属于难题.
练习册系列答案
相关题目