题目内容

如图所示,在光滑的水平面上有一个质量为M的木板B处于静止状态,现有一个质量为m的木块A从B的左端以初速度v0=3m/s开始水平向右滑动,已知M>m。用①和②分别表示木块A和木板B的图像,在木块A从B的左端滑到右端的过程中,下面关于二者速度v随时间t的变化图像,其中可能正确的是

 

 

【答案】

C

【解析】

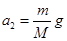
试题分析:质量为m的木块受到的水平外力是长木板对它的摩擦力f,f=μmg,木块以a1=μg做匀减速运动,长木板受到水平外力是木快对它的摩擦力f`,也是f`=μmg,方向相反,木板以,做匀加速运动,由于M>m,所以,在v-t图象中①图线的斜率大于②的斜率,可以排除选项A、B;两物体速度相等后将共同向右匀速运动,可以排除D选项,所以只有C选项是可能的。

考点:v-t图象 牛顿第二定律

 

练习册系列答案
相关题目

违法和不良信息举报电话:027-86699610 举报邮箱:58377363@163.com

精英家教网