题目内容
如图所示,在动摩擦因数μ=0.2的水平面AB上,水平恒力F (F大小未知)推动质量为m=1kg的物体从A点由静止开始作匀加速直线运动,物体到达B点时撤去F,接着又冲上光滑斜面(设经过B点前后速度大小不变),最高能到达C点.用速度传感器测量物体的瞬时速度,并在表格中记录了部分测量数据(g取10m/s2).| t/s | 0.0 | 0.2 | 0.4 | … | 2.2 | 2.4 | 2.6 | … |
| v/(m/s) | 0.0 | 0.4 | 0.8 | … | 3.0 | 2.0 | 1.0 | … |
(2)若撤去推力F,在A处给物体一个水平向左的初速度v,恰能使物体运动到C点,求此初速度v的大小.
【答案】分析:(1)根据表格中的数据求出物体在水平面上加速时的加速度以及在斜面上减速时的加速度大小,然后根据运动学公式求解即可.
(2)结合第(1)问求出AB与BC之间的距离,根据功能关系即可正确解答.
解答:解:(1)根据
可知:
物体在水平面上的加速度大小为:
物体在斜面上的加速度大小为:
,负号表示与速度方向相反.
设物体到达B点时的时间为t,则有:
达到B点时的速度为:vB=a1t ①
当时间t′=2.4s时,物体已经在斜面上,此时有:vt=vB-a2(t′-t) ②
联立①②带入数据解得:4m/s,2s.
故物体到达B点时的速度为4m/s,时间为2s.
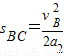
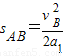
(2)根据(1)问有:
①
②
在水平面上撤去F时,根据功能关系有:
③
联立①②③解得:v=
.
故物体的初速度为:v=
.
点评:本考查了牛顿第二定律、运动学公式、功能关系等基本规律的应用,注意正确分析物体的运动过程,明确各物理量的变化.
(2)结合第(1)问求出AB与BC之间的距离,根据功能关系即可正确解答.
解答:解:(1)根据
物体在水平面上的加速度大小为:
物体在斜面上的加速度大小为:
设物体到达B点时的时间为t,则有:
达到B点时的速度为:vB=a1t ①
当时间t′=2.4s时,物体已经在斜面上,此时有:vt=vB-a2(t′-t) ②
联立①②带入数据解得:4m/s,2s.
故物体到达B点时的速度为4m/s,时间为2s.
(2)根据(1)问有:
在水平面上撤去F时,根据功能关系有:
联立①②③解得:v=
故物体的初速度为:v=
点评:本考查了牛顿第二定律、运动学公式、功能关系等基本规律的应用,注意正确分析物体的运动过程,明确各物理量的变化.
练习册系列答案
相关题目