题目内容
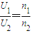
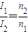
如图甲所示,电路中理想变压器原线圈与副线圈匝数比A.副线圈两端电压的最大值为220V
B.原线圈两端电压有效值为220V
C.原线圈中的交变电流最大值为50A
D.原线圈中的交变电流的频率为0.O2Hz
解答:解:A、副线圈的电流最大值为5A,根据U=IR得副线圈两端的电压最大值为:Um=5×440=2200V,故A错误;
B、根据
C、根据
D、原副线圈中的交流电的频率是相同的都为50Hz,故D错误.
故选C.
点评:正确应用变压器的匝数与电压、电流关系,求解原副线圈中的电压、电流最大值、有效值、瞬时值的大小关系.
某同学将铜片锌片插入土豆中制成一个“土豆电池”。当伏特表测量其两极时读
数为0.96V,但将四个这样的“土豆电池”串联起来给“3V,0.5A”的小灯泡供电时,
灯泡并不发光,检查灯泡和线路均没有故障,为寻找原因,该同学进一步设计了一个如
图甲所示的电路来测定一节该“土豆电池”的电动势和内阻,电路中所用电流计的阻值
为50Ω,实验中他多次改变电阻箱的阻值,分别记录下各次电阻的阻值及相应的电流计
示数,算出电流的倒数,并将数据填在如下的表格中。
|
| ||||||||||||||||||||||
(1)在利用图像法处理数据时,该同学选择了作“
”图像而不是作“I-R”图像,你认为他这样做的理由是 。
(2)按照(1)中选定的方案,请你帮该同学在下面的坐标纸中作出相应的图像。
![]()
根据图像可以求该电流的电动热为 V,内阻为 Ω。
(3)完成实验后,该同学分析得出灯泡不亮的原因是 。
某同学将铜片锌片插入土豆中制成一个“土豆电池”。当伏特表测量其两极时读
数为0.96V,但将四个这样的“土豆电池”串联起来给“3V,0.5A”的小灯泡供电时,
灯泡并不发光,检查灯泡和线路均没有故障,为寻找原因,该同学进一步设计了一个如
图甲所示的电路来测定一节该“土豆电池”的电动势和内阻,电路中所用电流计的阻值
为50Ω,实验中他多次改变电阻箱的阻值,分别记录下各次电阻的阻值及相应的电流计
示数,算出电流的倒数,并将数据填在如下的表格中。
|
|
||||||||||||||||||||||
(1)在利用图像法处理数据时,该同学选择了作“
”图像而不是作“I-R”图像,你认为他这样做的理由是
。
(2)按照(1)中选定的方案,请你帮该同学在下面的坐标纸中作出相应的图像。
![]()
根据图像可以求该电流的电动热为 V,内阻为 Ω。
(3)完成实验后,该同学分析得出灯泡不亮的原因是 。