ÌâÄ¿ÄÚÈÝ
ÈçͼËùʾ£¬ÓÐÒ»½ØÃæÊÇÖ±½ÇÈý½ÇÐεÄÀâ¾µABC£¬¡ÏA=30°£®Ëü¶Ôºì¹âµÄÕÛÉäÂÊΪn1£®¶Ô×ϹâµÄÕÛÉäÂÊΪn2£®ÔÚ¾àAC±ßΪd´¦ÓÐÒ»ÓëACƽÐеĹâÆÁ£®ÏÖÓÐÓÉÒÔÉÏÁ½ÖÖÉ«¹â×é³ÉµÄºÜϸµÄ¹âÊø´¹Ö±AB±ßÉäÈëÀâ¾µ£®£¨1£©ºì¹âºÍ×ϹâÔÚÀâ¾µÖеĴ«²¥ËٶȱÈΪ¶àÉÙ£¿
£¨2£©ÎªÁËʹºì¹âÄÜ´ÓACÃæÉä³öÀâ¾µ£¬n1Ó¦Âú×ãʲôÌõ¼þ£¿
£¨3£©ÈôÁ½ÖֹⶼÄÜ´ÓACÃæÉä³ö£¬ÇóÔÚ¹âÆÁMNÉÏÁ½¹âµã¼äµÄ¾àÀ룮
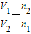
¡¾´ð°¸¡¿·ÖÎö£º£¨1£©¸ù¾Ý¹«Ê½v=
£¬Çó³öºì¹âºÍ×ϹâÔÚÀâ¾µÖеĴ«²¥ËÙ¶ÈÖ®±È£®
£¨2£©Óɼ¸ºÎ֪ʶµÃµ½£¬ºì¹âÉäµ½ACÃæÉϵÄÈëÉä½Çi1=30°£¬ÒªÊ¹ºì¹âÄÜ´ÓACÃæÉä³öÀâ¾µ£¬±ØÐëʹi1£¼C£¬¶øsinC=
Çón1Ó¦Âú×ãµÄÌõ¼þ£®
£¨3£©¸ù¾ÝÕÛÉ䶨ÂÉ·Ö±ðÇó³öÁ½ÖÖ¹â´ÓACÃæÉä³öʱµÄÕÛÉä½Ç£¬ÔÙÓɼ¸ºÎ֪ʶÇó½âÔÚ¹âÆÁMNÉÏÁ½¹âµã¼äµÄ¾àÀ룮
½â´ð£º½â£º
£¨1£©¸ù¾Ý¹«Ê½v=
£¬µÃ
£¨2£©Óɼ¸ºÎ֪ʶµÃµ½£¬ºì¹âÉäµ½ACÃæÉϵÄÈëÉä½Çi1=30°£¬ÒªÊ¹ºì¹âÄÜ´ÓACÃæÉä³öÀâ¾µ£¬±ØÐëʹi1£¼C£¬¶øsinC=
£¬µÃµ½sini1£¼
£¬½âµÃn1£¼2
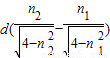
£¨3£©Éèºì¹âÓë×Ϲâ´ÓACÃæÉä³öʱµÄÕÛÉä½Ç·Ö±ðΪr1£¬r2£®
¸ù¾ÝÕÛÉ䶨ÂɵÃ
n1=
£¬n2=
£¬ÓÖi1=i2=30°
ÓÖÓɼ¸ºÎ֪ʶµÃ£¬ÔÚ¹âÆÁMNÉÏÁ½¹âµã¼äµÄ¾àÀë¡÷x=dtanr2-dtanr1
´úÈë½âµÃ
£©
´ð£º
£¨1£©ºì¹âºÍ×ϹâÔÚÀâ¾µÖеĴ«²¥ËٶȱÈΪn2£ºn1£»
£¨2£©ÎªÁËʹºì¹âÄÜ´ÓACÃæÉä³öÀâ¾µ£¬n1Ó¦Âú×ãµÄÌõ¼þÊÇn1£¼2£»
£¨3£©ÈôÁ½ÖֹⶼÄÜ´ÓACÃæÉä³ö£¬ÔÚ¹âÆÁMNÉÏÁ½¹âµã¼äµÄ¾àÀëÊÇ
£®
µãÆÀ£º±¾Ì⿼²é¹âÔÚ½éÖÊÖÐËÙ¶È¡¢È«·´Éä¼°ÕÛÉ䶨ÂɵÄ×ÛºÏÓ¦Óã¬ÖеÈÄѶȣ®¶ÔÓÚÕÛÉ䶨ÂɵÄÓ¦Ó㬹ؼüÊÇ×÷³ö¹â·ͼ£®
£¨2£©Óɼ¸ºÎ֪ʶµÃµ½£¬ºì¹âÉäµ½ACÃæÉϵÄÈëÉä½Çi1=30°£¬ÒªÊ¹ºì¹âÄÜ´ÓACÃæÉä³öÀâ¾µ£¬±ØÐëʹi1£¼C£¬¶øsinC=
£¨3£©¸ù¾ÝÕÛÉ䶨ÂÉ·Ö±ðÇó³öÁ½ÖÖ¹â´ÓACÃæÉä³öʱµÄÕÛÉä½Ç£¬ÔÙÓɼ¸ºÎ֪ʶÇó½âÔÚ¹âÆÁMNÉÏÁ½¹âµã¼äµÄ¾àÀ룮
½â´ð£º½â£º
£¨1£©¸ù¾Ý¹«Ê½v=
£¨2£©Óɼ¸ºÎ֪ʶµÃµ½£¬ºì¹âÉäµ½ACÃæÉϵÄÈëÉä½Çi1=30°£¬ÒªÊ¹ºì¹âÄÜ´ÓACÃæÉä³öÀâ¾µ£¬±ØÐëʹi1£¼C£¬¶øsinC=
£¨3£©Éèºì¹âÓë×Ϲâ´ÓACÃæÉä³öʱµÄÕÛÉä½Ç·Ö±ðΪr1£¬r2£®
¸ù¾ÝÕÛÉ䶨ÂɵÃ
n1=
ÓÖÓɼ¸ºÎ֪ʶµÃ£¬ÔÚ¹âÆÁMNÉÏÁ½¹âµã¼äµÄ¾àÀë¡÷x=dtanr2-dtanr1
´úÈë½âµÃ
´ð£º
£¨1£©ºì¹âºÍ×ϹâÔÚÀâ¾µÖеĴ«²¥ËٶȱÈΪn2£ºn1£»
£¨2£©ÎªÁËʹºì¹âÄÜ´ÓACÃæÉä³öÀâ¾µ£¬n1Ó¦Âú×ãµÄÌõ¼þÊÇn1£¼2£»
£¨3£©ÈôÁ½ÖֹⶼÄÜ´ÓACÃæÉä³ö£¬ÔÚ¹âÆÁMNÉÏÁ½¹âµã¼äµÄ¾àÀëÊÇ
µãÆÀ£º±¾Ì⿼²é¹âÔÚ½éÖÊÖÐËÙ¶È¡¢È«·´Éä¼°ÕÛÉ䶨ÂɵÄ×ÛºÏÓ¦Óã¬ÖеÈÄѶȣ®¶ÔÓÚÕÛÉ䶨ÂɵÄÓ¦Ó㬹ؼüÊÇ×÷³ö¹â·ͼ£®
Á·Ï°²áϵÁдð°¸
Ïà¹ØÌâÄ¿