题目内容

如图,一质量为M的物块静止在桌面边缘,桌面离水平面的高度为h.一质量为m的子弹以水平速度v0射入物块后,以水平速度v0/2射出.重力加速度为g.求

(1)此过程中系统损失的机械能;

(2)此后物块落地点离桌面边缘的水平距离.

答案:
解析:

  答案(1)

  (2)

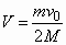
  解析(1)设子弹穿过物块后的速度为V,由动量守恒得

   ①(3分)

  解得: ②

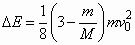
  系统损失的机械能为: ③(3分)

  由②③两式可得: ④(3分)

  (2)设物块下落到地面所需时间为t,落地点距桌面边缘的水平距离为s

  则: ⑤(2分)

   ⑥(2分)

  由②⑤⑥三式可得: ⑦(2分)

  高考考点:动量守恒与能量守恒的综合应用,平抛运动.


提示:

子弹打木块模型是动量守恒与能量守恒综合应用的主要模型,大多数同学往往只注意动量守恒与能量守恒表达式的书写,忽略最终结果的求解,出现在考试过程中结果出错,故平时在训练中也要加强数学运算能力的培养.


练习册系列答案
相关题目

违法和不良信息举报电话:027-86699610 举报邮箱:58377363@163.com

精英家教网