题目内容
相距L的两个点电荷A、B分别带的电荷量为+9Q和-Q,放在光滑绝缘的水平面上,现引入第三个点电荷C,使三者在库仑力作用下都处于静止状态,问C所带的电荷量 ,电性为 应把C应放在 位置上.
【答案】分析:因题目中要求三个小球均处于平衡状态,故可分别对任意两球进行分析列出平衡方程即可求得结果.
解答:解:A、B、C三个电荷要平衡,必须三个电荷的一条直线,外侧二个电荷相互排斥,中间电荷吸引外侧两个电荷,所以外侧两个电荷距离大,要平衡中间电荷的拉力,必须外侧电荷电量大,中间电荷电量小,所以C必须为正,在B的另一侧.
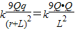
设C所在位置与B的距离为r,则C所在位置与A的距离为L+r,要能处于平衡状态,
所以A对C的电场力大小等于B对C的电场力大小,设C的电量为q.则有:

解得:r=
对点电荷A,其受力也平衡,则

解得:q=
故答案为:
;正;9Q、-Q连线延长线距-Q为
的
点评:我们可以去尝试假设C带正电或负电,它应该放在什么地方,能不能使整个系统处于平衡状态.不行再继续判断.
解答:解:A、B、C三个电荷要平衡,必须三个电荷的一条直线,外侧二个电荷相互排斥,中间电荷吸引外侧两个电荷,所以外侧两个电荷距离大,要平衡中间电荷的拉力,必须外侧电荷电量大,中间电荷电量小,所以C必须为正,在B的另一侧.
设C所在位置与B的距离为r,则C所在位置与A的距离为L+r,要能处于平衡状态,
所以A对C的电场力大小等于B对C的电场力大小,设C的电量为q.则有:
解得:r=
对点电荷A,其受力也平衡,则
解得:q=
故答案为:
点评:我们可以去尝试假设C带正电或负电,它应该放在什么地方,能不能使整个系统处于平衡状态.不行再继续判断.
练习册系列答案
相关题目