题目内容
如图所示,A、B、C为一等边三角形的三个顶点,某匀强电场的电场线平行于该三角形平面,现将电荷量为10-8C的正点电荷从A点移到B点,电场力做功为3×l0-6J,将另一电荷量为10-8C的负点电荷从A点移到C点,克服电场力做功3×10-6J.(1)求电场线的方向及UAB、UAC、UBC的值;
(2)若AB边长为
【答案】分析:(1)由电势差公式U=
求解电势差UAB、UAC、UBC的值,并得到三点电势的关系,根据电场线与等势线垂直,并指向低电势,确定电场线的方向.
(2)由E=
求解电场强度的大小,d是电场线方向两点间的距离.
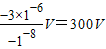
解答:解:(1)UAB=
=
;UAC=
=
;则知,B、C电势相等,则UBC=0.所以电场线方向为垂直于BC连线向右下方.
(2)电场强度的大小E=
=
V/m=104V/m.
答:(1)电场线方向为垂直于BC连线向右下方.UAB、UAC、UBC的值分别为300V,300V,0;
(2)电场强度的大小为104V/m.
点评:本题要掌握电势差公式U=
,注意运用此式时三个量均要代入符号进行运算.电场强度与电势差的关系式E=
,式中d是电场线方向两点间的距离.
(2)由E=
解答:解:(1)UAB=
(2)电场强度的大小E=
答:(1)电场线方向为垂直于BC连线向右下方.UAB、UAC、UBC的值分别为300V,300V,0;
(2)电场强度的大小为104V/m.
点评:本题要掌握电势差公式U=
练习册系列答案
相关题目