题目内容
甲乙两颗人造卫星绕地球做匀速圆周运动,它们的质量之比m1:m2=2:3,运行轨道的半径之比为4:9,则它们向心力之比为 ,运动的线速度之比为 ,周期之比为 .
【答案】分析:根据万有引力提供向心力,得出线速度、周期与轨道半径的关系,从而求出向心力、线速度、周期之比.
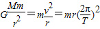
解答:解:根据
,得v=
,T=
.因为轨道半径比为4:9,则线速度之比为3:2,周期之比为8:27.
向心力等于万有引力,它们的质量之比m1:m2=2:3,运行轨道的半径之比为4:9,则向心力之比为27:8.
故答案为:27:8,3:2.8:27.
点评:解决本题的关键掌握万有引力提供向心力,知道线速度、周期与轨道半径的关系.
解答:解:根据
向心力等于万有引力,它们的质量之比m1:m2=2:3,运行轨道的半径之比为4:9,则向心力之比为27:8.
故答案为:27:8,3:2.8:27.
点评:解决本题的关键掌握万有引力提供向心力,知道线速度、周期与轨道半径的关系.
练习册系列答案
相关题目
甲、乙两颗人造卫星都绕地球做匀速圆周运动,甲为地球同步卫星,乙为近地卫星.关于这两颗卫星,下列说法中正确的是( )
| A、甲的运行速度一定大于乙的运行速度 | B、甲的运行周期一定大于乙的运行周期 | C、甲卫星在运行时不可能经过北京的正上方 | D、两卫星的运行速度均可以等于第一宇宙速度 |