题目内容

相隔一定距离的AB两球,质量相等,假定它们之间存在着恒定的斥力作用.原来两球被按住,处在静止状态.现突然松开,同时给A球以初速度v0,使之沿两球连线射向B球,B球初速度为零.若两球间的距离从最小值(两球未接触)在刚恢复到原始值所经历的时间为t0,求B球在斥力作用下的加速度.

答案:
解析:

  解答:以m表示球的质量,F表示两球相互作用的恒定斥力,l表示两球间的原始距离.A球作初速度为v0的匀减速运动,B球作初速度为零的匀加速运动.在两球间距由l先减小,到又恢复到l的过程中,A球的运动路程为l1B球运动路程为l2,间距恢复到l时,A球速度为v1B球速度为v2

  由动量守恒,有

  由功能关系:A球  B球:

  根据题意可知l1l2

  由上三式可得

  得v2v0v1=0 即两球交换速度.

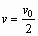
  当两球速度相同时,两球间距最小,设两球速度相等时的速度为v

  则

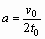
  B球的速度由增加到v0花时间t0,即

  得

  解二:用牛顿第二定律和运动学公式.(略)


练习册系列答案
相关题目

违法和不良信息举报电话:027-86699610 举报邮箱:58377363@163.com

精英家教网