题目内容
如图所示,一块质量为M的木板停在光滑的水平面上,木板的左端有挡板,挡板上固定一个小弹簧.一个质量为m的小物块(可视为质点)以水平速度υ从木板的右端开始向左运动,与弹簧碰撞后(弹簧处于弹性限度内),最终又恰好停在木板的右端.根据上述情景和已知量,可以求出四个物理量中的( )①弹簧的劲度系数
②弹簧的最大弹性势能
③木板和小物块之间的动摩擦因数
④木板和小物块组成的系统最终损失的机械能.
A.①③
B.②④
C.①④
D.②③
【答案】分析:当物块向左运动,将弹簧压缩最短时,弹性势能最大,此时木块与木板的速度相等.最终木块与木板保持相对静止,速度相等,一起做匀速直线运动.
解答:解:弹簧压缩最短时,弹性势能最大,此时木块木板速度相等,根据动量守恒定律得,
mv=(M+m)v
解得v=
.
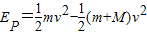
根据能量守恒定律得,
.
最终木块与木板速度相等,一起做匀速直线运动,系统损失的机械能与弹簧的最大弹性势能相等.因不知弹簧的形变量,以及在木板上滑行的距离,故无法求出劲度系数与木板和木块间的动摩擦因数.故②④正确.
故选B.
点评:本题综合考查了动量守恒定律和能量守恒定律,知道弹性势能相等时两者的速度相等,以及最终两者的速度也相等.
解答:解:弹簧压缩最短时,弹性势能最大,此时木块木板速度相等,根据动量守恒定律得,
mv=(M+m)v
解得v=
根据能量守恒定律得,
最终木块与木板速度相等,一起做匀速直线运动,系统损失的机械能与弹簧的最大弹性势能相等.因不知弹簧的形变量,以及在木板上滑行的距离,故无法求出劲度系数与木板和木块间的动摩擦因数.故②④正确.
故选B.
点评:本题综合考查了动量守恒定律和能量守恒定律,知道弹性势能相等时两者的速度相等,以及最终两者的速度也相等.
练习册系列答案
相关题目