题目内容
处于基态的一群氢原子受某种单色光的照射时,只发射波长为λ1、λ2、λ3的三种单色光,且λ1>λ2>λ3,则照射光的波长为( )A.λ1
B.λ1+λ2+λ3
C.
D.
【答案】分析:解题思路:根据氢原子能放出三种频率光,判断此时氢原子处在第几能级,然后计算从基态跃迁到该能级需要多少能量,计算能量时根据能级之简能量差和放出光子能量之间的关系计算.同时明确频率、波长、光速之间关系.
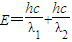
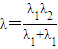
解答:解:能放出三种光,说明此时氢原子处在第3能级,从第三能级跃迁到基态时放出光子能量为:
,或者
.
能使处于基态氢原子跃迁的光子能量和第三能级与基态之间能级差相等.故有:
,λ=λ3,
或者
,此时
,故ABC错误,D正确.
故选D.
点评:本题考查知识比较全面,即考查了有关能级差、光子种类的计算,又考查了光子能量、波长、频率关系,在学习中要加强练习,不可混淆.
解答:解:能放出三种光,说明此时氢原子处在第3能级,从第三能级跃迁到基态时放出光子能量为:
能使处于基态氢原子跃迁的光子能量和第三能级与基态之间能级差相等.故有:
或者
故选D.
点评:本题考查知识比较全面,即考查了有关能级差、光子种类的计算,又考查了光子能量、波长、频率关系,在学习中要加强练习,不可混淆.
练习册系列答案
相关题目