题目内容

在研究性学习中,某同学设计了一个测定带电粒子比荷的实验,其实验装置如图所示.abcd是一个长方形盒子,在ad边和cd边上各开有小孔f和e,e是cd边上的中点,荧光屏M贴着cd放置,能显示从e孔射出的粒子落点位置.盒子内有一方向垂直于abcd平面的匀强磁场,磁感应强度大小为B.粒子源不断地发射相同的带电粒子,粒子的初速度可以忽略.粒子经过电压为U的电场加速后,从f孔垂直于ad边射入盒内.粒子经磁场偏转后恰好从e孔射出.若已知,不计粒子的重力和粒子之间的相互作用力.请你根据上述条件求出带电粒子的荷质比q/m.

答案:
解析:

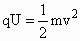
  带电粒子进入电场,经电场加速.根据动能定理得,即

粒子进入磁场后做匀速圆周运动,轨迹如图所示,设圆周半径为R,在三角形Ode中,有,则

  又,解得


练习册系列答案
相关题目

违法和不良信息举报电话:027-86699610 举报邮箱:58377363@163.com

精英家教网