题目内容
质量不计的直角形支架两端分别连接质量为m和2m的小球A和B。支架的两直角边长度分别为2l和l,支架可绕固定轴O在竖直平面内无摩擦转动,如图所示。开始时OA边处于水平位置,由静止释放,则 ( )
![]()
A.A球的最大速度为2![]()
B.A球的速度最大时,两小球的总重力势能最小
C.A球的速度最大时,两直角边与竖直方向的夹角为45°
D.A、B两球的最大速度之比v1∶v2=2∶1
【答案】
BCD
【解析】
试题分析: 直角支架上各点在转动过程中的角速度相等,由
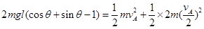
知A、B两球的最大速度之比等于其半径之比,故D正确。A球的速度最大时,B球的速度也达到最大,系统的动能此时最大。因系统的机械能守恒,故动能最大时两小球的总重力势能最小,故B正确。设OA与竖直方向的夹角为θ,根据机械能守恒有:
,即:![]()
解得:当θ=45º时,A球的速度最大时,最大速度为:
,故A错误
考点:本题考查了机械能守恒定律
练习册系列答案
相关题目
| A、B球相对于初始位置上升的最大高度为l | B、A球的速度最大时,两小球的总重力势能为零 | C、A球在向下摆的全过程中,杆对它做了负功 | D、A、B两球的最大速度之比vA:vB=2:1 |
A、A球的最大速度为2
| ||
| B、A球的速度最大时,两小球的总重力势能最小 | ||
| C、A球的速度最大时,两直角边与竖直方向的夹角为45° | ||
| D、A、B两球的最大速度之比vA:vB=3:1 |