题目内容
如图所示,一质量为M的人站在台秤上,手拿一个质量为m、悬线长为R的小球(其中M>m),在竖直平面内使小球做圆周运动,且小球恰好能通过圆轨道的最高点.求:(1)小球在圆周运动过程中的最大速度;
(2)台秤示数的最大值;
(3)台秤示数的最小值.
【答案】分析:知道小球恰好能通过圆轨道的最高点的临界条件.
小球运动到最低点时悬线对人的拉力最大,且方向竖直向下,故台秤示数最大,
根据机械能守恒和牛顿第二定律求出拉力在竖直方向的最小值.
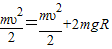
解答:解:(1)小球恰好能通过圆轨道的最高点,由机械能守恒及牛顿第二定律有:
其中υ表示小球在圆轨道最高点时的速度

由此得小球通过最低点时的速度,亦即最大速度为
(2)小球运动到最低点时悬线对人的拉力最大,且方向竖直向下,故台秤示数最大,
小球通过最低点时,据牛顿第二定律有
解得T=6mg
所以台秤的最大示数为F=(M+6m)g
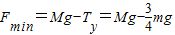
(3)当小球处于如图所示状态时,

设其速度为v1,由机械能守恒有
由牛顿第二定律有:
解得悬线拉力 T=3mg(1-cosθ)
其分力Ty=Tcosθ=3mgcosθ-3mgcos2θ
当cosθ=
,即θ=60°时,
台秤的最小示数为
.
点评:对物体进行受力分析,运用牛顿第二定律列出力与力的关系,根据题目的条件中找到临界状态.
对于圆周运动的受力问题,我们要找出向心力的来源.
小球运动到最低点时悬线对人的拉力最大,且方向竖直向下,故台秤示数最大,
根据机械能守恒和牛顿第二定律求出拉力在竖直方向的最小值.
解答:解:(1)小球恰好能通过圆轨道的最高点,由机械能守恒及牛顿第二定律有:
由此得小球通过最低点时的速度,亦即最大速度为
(2)小球运动到最低点时悬线对人的拉力最大,且方向竖直向下,故台秤示数最大,
小球通过最低点时,据牛顿第二定律有
解得T=6mg
所以台秤的最大示数为F=(M+6m)g
(3)当小球处于如图所示状态时,
设其速度为v1,由机械能守恒有
由牛顿第二定律有:
解得悬线拉力 T=3mg(1-cosθ)
其分力Ty=Tcosθ=3mgcosθ-3mgcos2θ
当cosθ=
台秤的最小示数为
点评:对物体进行受力分析,运用牛顿第二定律列出力与力的关系,根据题目的条件中找到临界状态.
对于圆周运动的受力问题,我们要找出向心力的来源.
练习册系列答案
相关题目