ÌâÄ¿ÄÚÈÝ

ͼ¼×ÊÇijÎïÀíС×éÑé֤ϵͳµÄ»úеÄÜÊÇ·ñÊØºãµÄʵÑé×°Öã¬Ò»¶Ë´øÓж¨»¬Âֵľ°å·ÅÖÃÔÚˮƽ×ÀÃæÉÏ£¬Ä¾°åÉÏÓÐһС³µ£¬Ð¡³µÒ»¶ËÓë´©¹ýµç´Å´òµã¼ÆÊ±Æ÷µÄÖ½´øÏàÁ¬£¬ÁíÒ»¶Ëͨ¹ý¿ç¹ý¶¨»¬ÂÖµÄϸÏßÓë¹³ÂëÏàÁ¬¡£¿ªÊ¼Ê±½«Ä¾°å¹Ì¶¨´òµã¼ÆÊ±Æ÷µÄÒ»¶ËÊʵ±µæ¸ß£¬ÔÚ²»¹Ò¹³ÂëµÄÌõ¼þÏ£¬ÇáÍÆÐ¡³µÊ¹Ð¡³µÄܹ»ÑØÄ¾°åÔÈËÙ»¬¶¯¡£¹ÒÉϹ³Âëºó£¬ÊÍ·ÅС³µ£¬ÔÚÖ½´øÉÏ´ò³öһϵÁÐСµã¡£ÒÑÖª½»Á÷µçÔ´µÄƵÂÊΪ50 Hz¡£

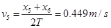
£¨1£©Í¼ÒÒÊÇʵÑéÖлñÈ¡µÄÒ»ÌõÖ½´øµÄÒ»²¿·Ö£º0¡¢1¡¢2¡¢3¡¢4¡¢5¡¢6ÊǼÆÊýµã£¬Ã¿ÏàÁÚÁ½¼ÆÊýµã¼ä»¹ÓÐ4¸öµã£¬Í¼ÖÐδ±ê³ö¡£¼ÆÊýµã¼äµÄ¾àÀëx1¡¢x2¡¢x3¡¢¡­¡¢x6ÒÀ´ÎΪ£º2£®34 c m¡¢2£®81 cm¡¢3£®29 cm¡¢3£®76 cm¡¢4£®25 cm¡¢4£®73 cm¡£¸ù¾ÝͼÖÐÊý¾Ý¼ÆËã´òϼÆÊýµã5ʱµÄËÙ¶Èv5=        m£¯s£¬Ð¡³µÔ˶¯µÄ¼ÓËÙ¶Èa=        m/s2£»£¨±£ÁôÈýλÓÐЧÊý×Ö£©

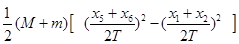
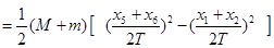
£¨2£©ÊµÑéÖвâ³öС³µµÄÖÊÁ¿ÎªM¡¢¹³ÂëµÄÖÊÁ¿Îªm£¬¼ÆÊ±Æ÷µÄ´òµãÖÜÆÚΪT¡£Èô²»¼ÆÐ¡³µÑØÄ¾°åÔ˶¯Ê±Ï½µµÄ¸ß¶È£¬´Ó´òϼÆÊýµãlµ½¼ÆÊýµã5µÄ¹ý³ÌÖУ¬Ð¡³µºÍ¹³Âë×é³ÉµÄϵͳ£¬¼õСµÄÖØÁ¦ÊÆÄÜ£¨ÓÃx1¡¢x2¡¢¡­¡¢m¡¢M¡¢gºÍr±íʾ£©¡÷Ep=         £¬Ôö¼ÓµÄ¶¯ÄÜ¡÷Ek=            ¡£

 

¡¾´ð°¸¡¿

£¨1£©0.449m/s  0.478m/s2   £¨2£©   

¡¾½âÎö¡¿

ÊÔÌâ·ÖÎö£º£¨1£©¾ÝÖмäʱ¿ÌµÄ˲ʱËٶȵÈÓÚÕâ¶Îʱ¼äÄ򵀮½¾ùËÙ¶È£¬ÔòÓУº£¬¼ÓËÙ¶ÈΪ¡££¨2£©ÓÉÓÚС³µºÍ¹³Âë×é³ÉµÄϵͳµÄÖØÁ¦ÊÆÄܱ仯Ö÷Òª±íÏÖÔÚ¹³ÂëµÄÖØÁ¦ÊÆÄܱ仯£¬ÔòÓУº£¬ÏµÍ³Ôö¼ÓµÄ¶¯ÄÜΪÁ½Õß¶¯ÄÜÔö¼ÓÖ®ºÍ£¬¶øÁ½ÕßΪÁ¬½ÓÌåËÙ¶È´óСÏàµÈ£¬ÔòϵͳÔö¼ÓµÄ¶¯ÄÜΪ£º

¿¼µã£º±¾Ì⿼²é´òµã¼ÆÊ±Æ÷µÄÓ¦ÓúͻúеÄÜÊØºã¶¨ÂɵÄÑéÖ¤¡£

 

Á·Ï°²áϵÁдð°¸
Ïà¹ØÌâÄ¿
ijУÁ½¸ö¿ÎÍâ»î¶¯Ð¡×é·Ö±ðÓÃÒÔÏÂÁ½ÖÖ·½·¨À´ÑéÖ¤»úеÄÜÊØºã¶¨ÂÉ£®ÇëÔĶÁÏÂÁÐÁ½¶Î²ÄÁÏ£¬Íê³ÉºóÃæÎÊÌ⣮
µÚ1С×飺ÀûÓÃÊúÖ±ÉÏÅ×СÇòµÄƵÉÁÕÕÆ¬ÑéÖ¤»úеÄÜÊØºã¶¨ÂÉ£®Í¼1ËùʾËù±êÊý¾ÝΪʵ¼Ê¾àÀ룬t0ʱ¿Ì¸ÕºÃ¶ÔÓ¦Å׳öµã£¬¸ÃС×éͬѧͨ¹ý¼ÆËãµÃµ½²»Í¬Ê±¿ÌµÄËٶȺÍËÙ¶ÈµÄÆ½·½ÖµÈçÏÂ±í£¬µ±ËûÃÇÒª¼ÆËãÖØÁ¦ÊÆÄܵĸıäÁ¿Ê±£¬·¢ÏÖ²»ÖªµÀµ±µØÖØÁ¦¼ÓËÙ¶È£¬ÇëÄã¸ù¾ÝʵÑéÊý¾Ý£¬°´ÕÕÏÂÁÐÒªÇó¼ÆËã³öÖØÁ¦¼ÓËÙ¶È£®
¾«Ó¢¼Ò½ÌÍø
ʱ¿Ì t1 t2 t3 t4 t5
ËÙ¶È v£¨m/s£© 4.52 4.04 3.56 3.08 2.60
V2£¨m2/s2£© 20.43 16.32 12.67 9.49 6.76
£¨1£©ÔÚͼ2Ëù¸øµÄ×ø±êÖ½ÉÏ×÷³öv2-hͼÏó£º
£¨2£©·ÖÎö˵Ã÷£¬Í¼ÏóбÂʵľø¶ÔÖµ±íʾµÄÎïÀíÒâÒåÊÇ£º
 
£»
£¨3£©ÓÉͼÏóÇóµÃµÄÖØÁ¦¼ÓËÙ¶ÈÊÇ
 
m/s2£¨½á¹û±£ÁôÈýλÓÐЧÊý×Ö£©£®
µÚ2С×飺DISʵÑéÊÇÀûÓÃÏÖ´úÐÅÏ¢¼¼Êõ½øÐеÄʵÑ飮¡°ÓÃDISÑо¿»úеÄÜÊØºã¶¨ÂÉ¡±µÄʵÑé×°ÖÃÈçͼ¼×Ëùʾ£¬Ð¡×éͬѧÔÚʵÑéÖÐÀûÓÃСÌúÇò´ÓºÜ¹â½àµÄÇúÃæÉϹöÏ£¬Ñ¡ÔñDISÒÔͼÏó·½Ê½ÏÔʾʵÑéµÄ½á¹û£¬ËùÏÔʾµÄͼÏóÈçͼÒÒËùʾ£®Í¼ÏóµÄºáÖá±íʾСÇò¾àdµã£¨×îµÍµã£©µÄ¸ß¶Èh£¬×ÝÖá±íʾСÌúÇòµÄÖØÁ¦ÊÆÄÜEP¡¢¶¯ÄÜEk»ò»úеÄÜE£®ÊԻشðÏÂÁÐÎÊÌ⣺£¨1£©Í¼ÒÒµÄͼÏóÖУ¬±íʾСÇòµÄÖØÁ¦ÊÆÄÜEP¡¢¶¯ÄÜEk¡¢»úеÄÜEËæÐ¡Çò¾àdµãµÄ¸ß¶Èh±ä»¯¹ØÏµµÄͼÏß·Ö±ðÊÇ
 
£¨°´Ë³ÐòÌîдÏàӦͼÏßËù¶ÔÓ¦µÄÎÄ×Ö£©£»
£¨2£©¸ù¾ÝͼÒÒËùʾµÄʵÑéͼÏ󣬿ÉÒԵóöµÄ½áÂÛÊÇ£º
 
£®
¾«Ó¢¼Ò½ÌÍø£¨1£©Ä³Ñ§Ï°Ð¡×éΪ²âÁ¿Ò»Í­Ð¾µçÏߵĵç×èÂÊ£¬ËûÃǽØÈ¡ÁËÒ»¶ÎµçÏߣ¬ÓÃÃ׳߲â³öÆä³¤¶ÈΪL£¬ÓÃÂÝÐý²â΢Æ÷²âµÃÆäÖ±¾¶ÎªD£¬ÓöàÓõç±í²âÆäµç×èֵԼΪ2¦¸£¬ÎªÌá¸ß²âÁ¿µÄ¾«¶È£¬¸ÃС×éµÄÈËÔ±´ÓÏÂÁÐÆ÷²ÄÖÐÌôÑ¡ÁËһЩԪ¼þ£¬Éè¼ÆÁËÒ»¸öµç·£¬ÖØÐ²âÁ¿Õâ¶Îµ¼Ïߣ¨Í¼ÖÐÓÃRx±íʾ£©µÄµç×裮
A£®µçÔ´E£¨µç¶¯ÊÆÎª3.0V£¬ÄÚ×è²»¼Æ£©
B£®µçѹ±íV1£¨Á¿³ÌΪ0¡«3.0V£¬ÄÚ×èԼΪ2k¦¸£©
C£®µçѹ±íV2£¨Á¿³ÌΪ0¡«15.0V£¬ÄÚ×èԼΪ6k¦¸£©
D£®µçÁ÷±íA1£¨Á¿³ÌΪ0¡«0.6A£¬ÄÚ×èԼΪ1¦¸£©
E£®µçÁ÷±íA2£¨Á¿³ÌΪ0¡«3.0A£¬ÄÚ×èԼΪ0.1¦¸£©
F£®»¬¶¯±ä×èÆ÷R1 £¨×î´ó×èÖµ10¦¸£¬¶î¶¨µçÁ÷2.0A£©G£®»¬¶¯±ä×èÆ÷R2£¨×î´ó×èÖµ1k¦¸£¬¶î¶¨µçÁ÷1.0A£©
H£®¶¨Öµµç×èR0£¨×èֵΪ3¦¸£© I£®¿ª¹ØSÒ»¸ö£¬µ¼ÏßÈô¸É
¢ÙÈçͼ1ÊǸÃʵÑéС×éÓÃǧ·Ö³ß¶ÔÍ­ÏßÖ±¾¶µÄij´Î²âÁ¿£¬Æä¶ÁÊýÊÇ
 
£®
¢ÚΪÌá¸ßʵÑ龫¶È£¬ÇëÄãΪ¸ÃʵÑéС×éÉè¼Æµç·ͼ£¬²¢»­ÔÚͼ2µÄ·½¿òÖУ®
¢ÛʵÑéʱµçѹ±íÑ¡
 
£¬µçÁ÷±íÑ¡
 
£¬»¬¶¯±ä×èÆ÷Ñ¡
 
£¨Ö»Ìî´úºÅ£©£®
¢Üij´Î²âÁ¿Ê±£¬µçѹ±íʾÊýΪU£¬µçÁ÷±íʾÊýΪI£¬Ôò¸ÃͭоÏß²ÄÁϵĵç×èÂʵıí´ïʽΪ£º¦Ñ=
 
£®
£¨2£©£¨4·Ö£©ÀíÏë±äѹÆ÷ÊÇÖ¸ÔÚ±äѹÆ÷±äѹµÄ¹ý³ÌÖУ¬ÏßȦºÍÌúÐIJ»ËðºÄÄÜÁ¿¡¢´Å³¡±»Êø¸¿ÔÚÌúÐÄÄÚ²»Í⩵ıäѹÆ÷£®ÏÖÓÐÒ»¸öÀíÏë±äѹÆ÷ÓÐÒ»¸öÔ­ÏßȦ£¨ÔÑÊýΪn1£©ºÍÁ½¸±ÏßȦ£¨ÔÑÊý·Ö±ðΪn2¡¢n3£©£®¼×¡¢ÒÒ¡¢±ûͬѧÏë̽¾¿Õâ¸öÀíÏë±äѹÆ÷µÄÔ­¡¢¸±ÏßȦÁ½¶ËµÄµçѹÓëÏßȦÔÑÊýµÄ¹ØÏµ£®
¢Ù¼×ͬѧµÄ²ÂÏëÊÇU1£ºU2£ºU3=n1£ºn2£ºn3£»ÒÒͬѧµÄ²ÂÏëÊÇU1£ºU2£ºU3=n3£ºn2£ºn1£»±ûͬѧµÄ²ÂÏëÊÇU1n1=U2n2+U3n3£®ÄãÈÏΪ²ÂÏëºÏÀíµÄͬѧÊÇ
 
£¬Äã×ö³öÉÏÊöÅжÏËùÒÀ¾ÝµÄÎïÀí¹æÂÉÊÇ
 
£®
¢ÚΪÁËÑéÖ¤ÀíÂÛÍÆµ¼µÄÕýÈ·ÐÔ£¬¿ÉÒÔͨ¹ýʵÑéÀ´Ì½¾¿£®Îª±£Ö¤ÊµÑ鰲ȫ¡¢ÓÐЧµØ½øÐУ¬Ó¦Ñ¡ÓÃ
 
µçÔ´£®
ijУÁ½¸ö¿ÎÍâ»î¶¯Ð¡×é·Ö±ðÓÃÒÔÏÂÁ½ÖÖ·½·¨À´ÑéÖ¤»úеÄÜÊØºã¶¨ÂÉ£®ÇëÔĶÁÏÂÁÐÁ½¶Î²ÄÁÏ£¬Íê³ÉºóÃæÎÊÌ⣮
¾«Ó¢¼Ò½ÌÍø
£¨1£©µÚ1С×飺ÀûÓÃÊúÖ±ÉÏÅ×СÇòµÄƵÉÁÕÕÆ¬ÑéÖ¤»úеÄÜÊØºã¶¨ÂÉ£®ÈçͼËùʾ£¬Í¼ÖÐÊý¾ÝΪʵ¼Ê¾àÀ룬t0ʱ¿Ì¸ÕºÃ¶ÔÓ¦Å׳öµã£¬¸ÃС×éͬѧͨ¹ý¼ÆËãµÃµ½²»Í¬Ê±¿ÌµÄËٶȺÍËÙ¶ÈµÄÆ½·½ÖµÈçÏÂ±í£¬µ±ËûÃÇÒª¼ÆËãÖØÁ¦ÊÆÄܵĸıäÁ¿Ê±£¬·¢ÏÖÐèÒªÏȼÆËãµ±µØÖØÁ¦¼ÓËÙ¶È£¬ÇëÄã¸ù¾ÝʵÑéÊý¾Ý£¬°´ÕÕÏÂÁÐÒªÇó¼ÆËã³öÖØÁ¦¼ÓËÙ¶È£¨ºöÂÔ¿ÕÆø×èÁ¦µÄÓ°Ï죩£®
ʱ¿Ì t1 t2 t3 t4 t5
ËÙ¶Èv£¨m/s£© 4.52 4.04 3.56 3.08 2.60
v2£¨m2/s2£© 20.43 16.32 12.67 9.49 6.76
¢ÙÔÚËù¸øµÄ×ø±êÖ½ÉÏ×÷³öv2-hͼÏó£»
¢Ú·ÖÎö˵Ã÷£¬Í¼ÏóбÂʵľø¶ÔÖµ±íʾµÄÎïÀíÒâÒåÊÇ£º
 
£»
¢ÛÓÉͼÏóÇóµÃµÄÖØÁ¦¼ÓËÙ¶ÈÊÇ
 
m/s2£¨½á¹û±£ÁôÈýλÓÐЧÊý×Ö£©£®
£¨2£©µÚ2С×飺DISʵÑéÊÇÀûÓÃÏÖ´úÐÅÏ¢¼¼Êõ½øÐеÄʵÑ飮¡°ÓÃDISÑо¿»úеÄÜÊØºã¶¨ÂÉ¡±µÄʵÑé×°ÖÃÈçͼ¼×Ëùʾ£¬Ð¡×éͬѧÔÚʵÑéÖÐÀûÓÃСÌú¿é´ÓºÜ¹â½àµÄÇúÃæÉÏ»¬Ï£¬Ñ¡ÔñDISÒÔͼÏó·½Ê½ÏÔʾʵÑéµÄ½á¹û£¬ËùÏÔʾµÄͼÏóÈçͼÒÒËùʾ£®Í¼ÏóµÄºáÖá±íʾСÌú¿é¾àdµã£¨×îµÍµã£©µÄ¸ß¶Èh£¬×ÝÖá±íʾСÌú¿éµÄÖØÁ¦ÊÆÄÜEP¡¢¶¯ÄÜEk»ò»úеÄÜE£®ÊԻشðÏÂÁÐÎÊÌ⣺
¾«Ó¢¼Ò½ÌÍø
¢ÙͼÒÒµÄͼÏóÖУ¬±íʾСÌú¿éµÄÖØÁ¦ÊÆÄÜEP¡¢¶¯ÄÜEk¡¢»úеÄÜEËæÐ¡Çò¾àdµãµÄ¸ß¶Èh±ä»¯¹ØÏµµÄͼÏß·Ö±ðÊÇ
 
£¨°´Ë³ÐòÌîдÏàӦͼÏßËù¶ÔÓ¦µÄÎÄ×Ö£©£»
¢Ú¸ù¾ÝͼÒÒËùʾµÄʵÑéͼÏ󣬿ÉÒԵóöµÄ½áÂÛÊÇ£º
 
£®

ijУÁ½¸ö¿ÎÍâ»î¶¯Ð¡×é·Ö±ðÓÃÒÔÏÂÁ½ÖÖ·½·¨À´ÑéÖ¤»úеÄÜÊØºã¶¨ÂÉ¡£ÇëÔĶÁÏÂÁÐÁ½¶Î²ÄÁÏ£¬Íê³ÉºóÃæÎÊÌâ¡£
µÚ1С×飺ÀûÓÃÊúÖ±ÉÏÅ×СÇòµÄƵÉÁÕÕÆ¬ÑéÖ¤»úеÄÜÊØºã¶¨ÂÉ¡£Í¼ËùʾËù±êÊý¾ÝΪʵ¼Ê¾àÀ룬t0ʱ¿Ì¸ÕºÃ¶ÔÓ¦Å׳öµã£¬¸ÃС×éͬѧͨ¹ý¼ÆËãµÃµ½²»Í¬Ê±¿ÌµÄËٶȺÍËÙ¶ÈµÄÆ½·½ÖµÈçÏÂ±í£¬µ±ËûÃÇÒª¼ÆËãÖØÁ¦ÊÆÄܵĸıäÁ¿Ê±£¬·¢ÏÖ²»ÖªµÀµ±µØÖØÁ¦¼ÓËÙ¶È£¬ÇëÄã¸ù¾ÝʵÑéÊý¾Ý£¬°´ÕÕÏÂÁÐÒªÇó¼ÆËã³öÖØÁ¦¼ÓËÙ¶È¡£

ʱ¿Ì
t1
t2
t3
t4
t5
ËÙ¶Èv(m/s)
4.52
4.04
3.56
3.08
2.60
v2(m2/s2)
20.43
16.32
12.67
9.49
6.76

£¨1£©ÔÚËù¸øµÄ×ø±êÖ½ÉÏ×÷³öv2¡ªhͼÏó£»

£¨2£©·ÖÎö˵Ã÷£¬Í¼ÏóбÂʵľø¶ÔÖµ±íʾµÄÎïÀíÒâÒåÊÇ£º_______________________£»
£¨3£©ÓÉͼÏóÇóµÃµÄÖØÁ¦¼ÓËÙ¶ÈÊÇ______m/s2£¨½á¹û±£ÁôÈýλÓÐЧÊý×Ö£©¡£
µÚ2С×飺DISʵÑéÊÇÀûÓÃÏÖ´úÐÅÏ¢¼¼Êõ½øÐеÄʵÑé¡£¡°ÓÃDISÑо¿»úеÄÜÊØºã¶¨ÂÉ¡±µÄʵÑé×°ÖÃÈçͼ¼×Ëùʾ£¬Ð¡×éͬѧÔÚʵÑéÖÐÀûÓÃСÌúÇò´ÓºÜ¹â½àµÄÇúÃæÉϹöÏ£¬Ñ¡ÔñDISÒÔͼÏó·½Ê½ÏÔʾʵÑéµÄ½á¹û£¬ËùÏÔʾµÄͼÏóÈçͼÒÒËùʾ¡£Í¼ÏóµÄºáÖá±íʾСÇò¾àdµã£¨×îµÍµã£©µÄ¸ß¶Èh£¬×ÝÖá±íʾСÌúÇòµÄÖØÁ¦ÊÆÄÜEP¡¢¶¯ÄÜEk»ò»úеÄÜE¡£ÊԻشðÏÂÁÐÎÊÌ⣺

£¨1£©Í¼ÒÒµÄͼÏóÖУ¬±íʾСÇòµÄÖØÁ¦ÊÆÄÜEP¡¢¶¯ÄÜEk¡¢»úеÄÜEËæÐ¡Çò¾àdµãµÄ¸ß¶Èh±ä»¯¹ØÏµµÄͼÏß·Ö±ðÊÇ___________£¨°´Ë³ÐòÌîдÏàӦͼÏßËù¶ÔÓ¦µÄÎÄ×Ö£©£»
£¨2£©¸ù¾ÝͼÒÒËùʾµÄʵÑéͼÏ󣬿ÉÒԵóöµÄ½áÂÛÊÇ£º_____________________________¡£

Î¥·¨ºÍ²»Á¼ÐÅÏ¢¾Ù±¨µç»°£º027-86699610 ¾Ù±¨ÓÊÏ䣺58377363@163.com

¾«Ó¢¼Ò½ÌÍø