题目内容
一辆汽车从车站开出,做匀加速直线运动,一段时间后,司机发现有一位乘客未上车,急忙刹车,车立即做匀减速直线运动,已知汽车从开始启动到停下共用时10s,前进了15m,则在此过程中,汽车达到的最大速度是?( )A.1m/s
B.1.5m/s
C.3m/s
D.8m/s
【答案】分析:根据平均速度的公式
,通过位移关系可以求出汽车达到的最大速度.
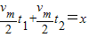
解答:解:设汽车达到的最大速度为vm,匀加速运动的时间为t1,匀减速运动的时间为t2,则匀加速和匀减速运动的平均速度都为
,则
,即
,代入数据得,vm=3m/s.故C正确,A、B、D错误.
故选C.
点评:本题运用平均速度的公式求解比较方便.运动学公式比较多,选择合适的公式往往会对解题带来方便.
解答:解:设汽车达到的最大速度为vm,匀加速运动的时间为t1,匀减速运动的时间为t2,则匀加速和匀减速运动的平均速度都为
故选C.
点评:本题运用平均速度的公式求解比较方便.运动学公式比较多,选择合适的公式往往会对解题带来方便.
练习册系列答案
相关题目
一辆汽车从车站开出,做匀加速直线运动行驶一段时间后,司机突然发现一乘客未上车,就紧急刹车,使车做匀减速直线运动直到停止.汽车从开始启动到停下来共用时10s,前进15m.在此过程中汽车达到的最大速度是( )
| A、1.5m/s | B、3m/s | C、4m/s | D、6m/s |