题目内容

一艘宇宙飞船飞近某一新发现的行星,并进入该行星表面的圆形轨道绕行数圈后,着陆在该行星上。飞船上备有以下器材:

A.秒表一只          B.质量为m的物体一个

C.弹簧测力计一个    D.天平一架(带砝码)

宇航员在绕行时及着陆后各做一次测量,依据测量数据,可求得该星球的半径R及质量M,已知引力常量为G

(1)绕行时需测量的物理量为  __,选用的器材是 _________(填序号)

(2)着陆后需测量的物理量为_______,选用的器材是 ________(填序号)

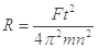
(3)利用测得的物理量写出半径R= _________,质量M=________

 

【答案】

(1)绕行时的圈数n和所用时间t , A(2)质量为m的物体的重力F, C

(3),质量

【解析】

试题分析:根据万有引力定律及牛顿第二定律有,由此式可知,欲求得星球半径和质量,可以通过测得星球表面的重力加速度和近星运动的公转周期得到结果,测公转周期可以得用秒表,为减小测量误差,可以测时转动n圈所用的时间t来求得周期,利用测力计测得物体在星球表面的重力F求得重力加速度为;代入上式可得星球的半径,质量

考点:万有引力定律及应用

 

练习册系列答案
相关题目

违法和不良信息举报电话:027-86699610 举报邮箱:58377363@163.com

精英家教网