ÌâÄ¿ÄÚÈÝ

ijͬѧÉè¼ÆÁËÈçͼËùʾµÄ×°ÖÃÀ´Ì½¾¿¼ÓËÙ¶ÈÓëÁ¦µÄ¹ØÏµ¡£µ¯»É³Ó¹Ì¶¨ÔÚÒ»ºÏÊʵÄľ°åÉÏ£¬×ÀÃæµÄÓÒ±ßÔµ¹Ì¶¨Ò»Ö§±íÃæ¹â»¬µÄǦ±ÊÒÔ´úÌæ¶¨»¬ÂÖ£¬Ï¸ÉþµÄÁ½¶Ë·Ö±ðÓ뵯»É³ÓµÄ¹Ò¹³ºÍ¿óȪˮƿÁ¬½Ó¡£ÔÚ×ÀÃæÉÏ»­³öÁ½ÌõƽÐÐÏßMN¡¢PQ£¬²¢²â³ö¼ä¾àd¡£¿ªÊ¼Ê±½«Ä¾°åÖÃÓÚMN´¦£¬ÏÖ»ºÂýÏòÆ¿ÖмÓË®£¬Ö±µ½Ä¾°å¸Õ¸Õ¿ªÊ¼Ô˶¯ÎªÖ¹£¬¼Çϵ¯»É³ÓµÄʾÊý£¬ÒԴ˱íʾ»¬¶¯Ä¦²ÁÁ¦µÄ´óС¡£ÔÙ½«Ä¾°å·Å»ØÔ­´¦²¢°´×¡£¬¼ÌÐøÏòÆ¿ÖмÓË®ºó£¬¼Çϵ¯»É³ÓµÄʾÊý£¬È»ºóÊÍ·Åľ°å£¬²¢ÓÃÃë±í¼ÇÏÂľ°åÔ˶¯µ½PQ´¦µÄ ʱ¼ät¡£

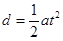
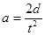
¢Ùľ°åµÄ¼ÓËÙ¶È¿ÉÒÔÓÃd¡¢t±íʾΪa=_______£»

¢Ú¸Ä±äÆ¿ÖÐË®µÄÖÊÁ¿Öظ´ÊµÑ飬ȷ¶¨¼ÓËÙ¶ÈaÓ뵯»É³ÓʾÊýµÄ¹ØÏµ¡£ÏÂÁÐͼÏóÄܱíʾ¸ÃͬѧʵÑé½á¹ûµÄÊÇ_________£»

¢ÛÓüÓË®µÄ·½·¨¸Ä±äÀ­Á¦µÄ´óСÓë¹Ò¹³ÂëµÄ·½·¨Ïà±È£¬ËüµÄÓŵãÊÇ________¡£

A£®¿ÉÒԸı们¶¯Ä¦²ÁÁ¦µÄ´óС        B£®¿ÉÒÔ¸ü·½±ãµØ»ñÈ¡¶à×éʵÑéÊý¾Ý

C£®¿ÉÒԱȽϾ«È·µØ²â³öĦ²ÁÁ¦µÄ´óС  D£®¿ÉÒÔ»ñµÃ¸ü´óµÄ¼ÓËÙ¶ÈÒÔÌá¸ßʵÑ龫¶È

 

¡¾´ð°¸¡¿

¢Ù¢Ú C ¢Û BC

¡¾½âÎö¡¿

ÊÔÌâ·ÖÎö£º¢Ù¸ù¾Ý¿É½âµÃ£»¢Úµ±Æ¿ÄÚË®µÄÖØÁ¿µ½Ä³Ò»ÖµÊ±²ÅÄÜÀ­¶¯Ä¾°å¼ÓËÙÔ˶¯£¬Ëæ×ÅË®µÄÖÊÁ¿µÄÔö¼Óµ¯»É³ÓµÄ¶ÁÊý½«Ð¡ÓÚË®µÄÖØÁ¦£¬ËùÒÔͼÏß½«ÍäÇú£¬ËùÒÔÑ¡ÏîCÕýÈ·¡£¢ÛÓüÓË®µÄ·½·¨¸Ä±äÀ­Á¦µÄ´óСÓë¹Ò¹³ÂëµÄ·½·¨Ïà±È£¬ËüµÄÓŵãÊÇ¿ÉÒÔ¸ü·½±ãµØ»ñÈ¡¶à×éʵÑéÊý¾Ý£¬±È½Ï¾«È·µØ²â³öĦ²ÁÁ¦µÄ´óС¡£Ñ¡ÏîBC ÕýÈ·¡£

¿¼µã£º´ËÌ⿼²éÑé֤ţ¶ÙµÚ¶þ¶¨ÂɵÄʵÑé¡£

 

Á·Ï°²áϵÁдð°¸
Ïà¹ØÌâÄ¿

Î¥·¨ºÍ²»Á¼ÐÅÏ¢¾Ù±¨µç»°£º027-86699610 ¾Ù±¨ÓÊÏ䣺58377363@163.com

¾«Ó¢¼Ò½ÌÍø