ÌâÄ¿ÄÚÈÝ

Ò»¸öÓÐÒ»¶¨ºñ¶ÈµÄÔ²ÅÌ£¬¿ÉÒÔÈÆÍ¨¹ýÖÐÐÄ´¹Ö±ÓÚÅÌÃæµÄˮƽÖáת¶¯£®ÓÃÏÂÃæµÄ·½·¨²âÁ¿ËüÔÈËÙת¶¯Ê±µÄ½ÇËÙ¶È£®ÊµÑéÆ÷²Ä£ºµç´Å´òµã¼ÆÊ±Æ÷¡¢Ã׳ߡ¢Ö½´ø¡¢¸´Ð´Ö½Æ¬£®

ʵÑé²½Ö裺

¢ÙÈçͼ1Ëùʾ£¬½«µç´Å´òµã¼ÆÊ±Æ÷¹Ì¶¨ÔÚ×ÀÃæÉÏ£¬½«Ö½´øµÄÒ»¶Ë´©¹ý´òµã¼ÆÊ±Æ÷µÄÏÞλ¿×ºó£¬¹Ì¶¨ÔÚ´ý²âÔ²Å̵IJàÃæÉÏ£¬Ê¹µÃÔ²ÅÌת¶¯Ê±£¬Ö½´ø¿ÉÒÔ¾íÔÚÔ²Å̲àÃæÉÏ£®

¢ÚÆô¶¯¿ØÖÆ×°ÖÃʹԲÅÌת¶¯£¬Í¬Ê±½ÓͨµçÔ´£¬´òµã¼ÆÊ±Æ÷¿ªÊ¼´òµã£®

¢Û¾­¹ýÒ»¶Îʱ¼ä£¬Í£Ö¹×ª¶¯ºÍ´òµã£¬È¡ÏÂÖ½´ø£¬½øÐвâÁ¿£®

(1)ÓÉÒÑÖªÁ¿ºÍ²âµÃÁ¿±íʾµÄ½ÇËٶȵıí´ïʽΪ=___________£¬Ê½Öи÷Á¿µÄÒâÒåÊÇ_______________£®

(2)ij´ÎʵÑé²âµÃÔ²Å̰뾶£¬µÃµ½µÄÖ½´øµÄÒ»¶ÎÈçͼ2Ëùʾ£®ÇóµÃ½ÇËÙ¶ÈΪ____________£®

´ð°¸£ºÂÔ
½âÎö£º

(1)Ô²ÅÌÔÈËÙת¶¯£¬Ö½´øÔÈËÙÔ˶¯£¬ÓÐÓÉÒÔÉÏÈýʽµÃ£®

(2)È¡ºÍ¶ÔÓ¦µÄÃ׳ßÉϵĿ̶ÈÖµ·Ö±ðΪ0ºÍ£®ÊýµÃ´òµãÊýΪn=15¸ö£®T=0.02s£¬£¬´úÈëÊý¾ÝµÃ£®

(1)TΪ´òµã¼ÆÊ±Æ÷´òµãµÄʱ¼ä¼ä¸ô£¬rΪԲÅ̰뾶£¬¡¢ÊÇÖ½´øÉÏÑ¡¶¨µÄÁ½µã·Ö±ð¶ÔÓ¦µÄÃ׳ßÉϵĿ̶ÈÖµ£¬nΪѡ¶¨µÄÁ½µã¼äµÄ´òµãÊý(º¬Á½µã)

(2)6.8rad/s


Á·Ï°²áϵÁдð°¸
Ïà¹ØÌâÄ¿
Ò»¸öÓÐÒ»¶¨ºñ¶ÈµÄÔ²ÅÌ£¬¿ÉÒÔÈÆÍ¨¹ýÖÐÐÄ´¹Ö±ÓÚÅÌÃæµÄˮƽÖáת¶¯£¬Ô²Å̼ÓËÙת¶¯Ê±£¬½ÇËٶȵÄÔö¼ÓÁ¿¡÷¦ØÓë¶ÔӦʱ¼ä¡÷tµÄ±ÈÖµ¶¨ÒåΪ½Ç¼ÓËٶȦ£®ÎÒÃÇÓõç´Å´òµã¼ÆÊ±Æ÷¡¢Ã׳ߡ¢Óα꿨³ß¡¢Ö½´ø¡¢¸´Ð´Ö½À´Íê³ÉÏÂÊöʵÑ飺£¨´òµã¼ÆÊ±Æ÷Ëù½Ó½»Á÷µçµÄƵÂÊΪ50Hz£¬A¡¢B¡¢C¡¢D¡­Îª¼ÆÊýµã£¬ÏàÁÚÁ½¼ÆÊýµã¼äÓÐËĸöµãδ»­³ö£©
¢ÙÈçͼ¼×Ëùʾ£¬½«´òµã¼ÆÊ±Æ÷¹Ì¶¨ÔÚ×ÀÃæÉÏ£¬½«Ö½´øµÄÒ»¶Ë´©¹ý´òµã¼ÆÊ±Æ÷µÄÏÞλ¿×£¬È»ºó¹Ì¶¨ÔÚÔ²Å̵IJàÃæ£¬µ±Ô²ÅÌת¶¯Ê±£¬Ö½´ø¿ÉÒÔ¾íÔÚÔ²Å̲àÃæÉÏ£»
¢Ú½ÓͨµçÔ´£¬´òµã¼ÆÊ±Æ÷¿ªÊ¼´òµã£¬Æô¶¯¿ØÖÆ×°ÖÃʹԲÅÌÔȼÓËÙת¶¯£»
¢Û¾­¹ýÒ»¶Îʱ¼ä£¬Ô²ÅÌֹͣת¶¯ºÍ´òµã£¬È¡ÏÂÖ½´ø£¬½øÐвâÁ¿£®£¨¼ÆËã½á¹û ±£Áô3λÓÐЧÊý×Ö£©£®
£¨1£©ÓÃ20·Ö¶ÈµÄÓα꿨³ß²âµÃÔ²Å̵ÄÖ±¾¶ÈçͼÒÒËùʾ£¬Ô²Å̵İ뾶rΪ
3.000cm
3.000cm
£®cm£»
£¨2£©ÓÉͼ±û¿ÉÖª£¬´òϼÆÊýµãDʱ£¬Ô²ÅÌת¶¯µÄ½ÇËÙ¶ÈΪ
13.0
13.0
rad/s£»
£¨3£©Ö½´øÔ˶¯µÄ¼ÓËÙ¶È´óСΪ
0.593
0.593
m/s2£¬Ô²ÅÌת¶¯µÄ½Ç¼ÓËÙ¶È´óСΪ
19.8
19.8
£®rad/s2£®
Ò»¸öÓÐÒ»¶¨ºñ¶ÈµÄÔ²ÅÌ£¬¿ÉÒÔÈÆÍ¨¹ýÖÐÐÄ´¹Ö±ÓÚÅÌÃæµÄˮƽÖáת¶¯£®ÓÃÏÂÃæµÄ·½·¨²âÁ¿ËüÔÈËÙת¶¯Ê±µÄ½ÇËÙ¶È£®
ʵÑéÆ÷²Ä£ºµç´Å´òµã¼ÆÊ±Æ÷¡¢Ã׳ߡ¢Ö½´ø¡¢¸´Ð´Ö½Æ¬£®
ʵÑé²½Ö裺
£¨1£©Èçͼ1Ëùʾ£¬½«µç´Å´òµã¼ÆÊ±Æ÷¹Ì¶¨ÔÚ×ÀÃæÉÏ£¬½«Ö½´øµÄÒ»¶Ë´©¹ý´òµã¼ÆÊ±Æ÷µÄÏÞλ¿×ºó£¬¹Ì¶¨ÔÚ´ý²âÔ²Å̵IJàÃæÉÏ£¬Ê¹µÃÔ²ÅÌת¶¯Ê±£¬Ö½´ø¿ÉÒÔ¾íÔÚÔ²Å̲àÃæÉÏ£®?
£¨2£©Æô¶¯¿ØÖÆ×°ÖÃʹԲÅÌת¶¯£¬Í¬Ê±½ÓͨµçÔ´£¬´òµã¼ÆÊ±Æ÷¿ªÊ¼´òµã£®
£¨3£©¾­¹ýÒ»¶Îʱ¼ä£¬Í£Ö¹×ª¶¯ºÍ´òµã£¬È¡ÏÂÖ½´ø£¬½øÐвâÁ¿£®?
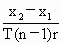
¢ÙÓÉÒÑÖªÁ¿ºÍ²âµÃÁ¿±íʾµÄ½ÇËٶȵıí´ïʽΪ¦Ø=
L
nTr
L
nTr
£¬Ê½Öи÷Á¿µÄÒâÒåÊÇ£º
ʽÖÐTΪµç´Å´òµã¼ÆÊ±Æ÷´òµãµÄÖÜÆÚ£¬rΪԲÅ̵İ뾶£¬LÊÇÓÃÃ׳߲âÁ¿µÄÖ½´øÉÏÑ¡¶¨µÄÁ½µã¼äµÄ³¤¶È£¬nΪѡ¶¨µÄÁ½µã¼äµÄ´òµãÖÜÆÚÊý
ʽÖÐTΪµç´Å´òµã¼ÆÊ±Æ÷´òµãµÄÖÜÆÚ£¬rΪԲÅ̵İ뾶£¬LÊÇÓÃÃ׳߲âÁ¿µÄÖ½´øÉÏÑ¡¶¨µÄÁ½µã¼äµÄ³¤¶È£¬nΪѡ¶¨µÄÁ½µã¼äµÄ´òµãÖÜÆÚÊý
£®
¢Úij´ÎʵÑé²âµÃÔ²Å̰뾶r=5.50¡Á10-2 m£¬µÃµ½µÄÖ½´øµÄÒ»¶ÎÈçͼ2Ëùʾ£¬ÇóµÃ½ÇËÙ¶ÈΪ
6.97rad/s
6.97rad/s
£®

Î¥·¨ºÍ²»Á¼ÐÅÏ¢¾Ù±¨µç»°£º027-86699610 ¾Ù±¨ÓÊÏ䣺58377363@163.com

¾«Ó¢¼Ò½ÌÍø