题目内容
如图所示,直线A为电源的U-I图线,直线B为电阻R的U-I图线,用该电源和电阻组成的闭合电路,电源的输出功率和电路的总功率分别为
[ ]
A.4W,8W
B.2W,4W
C.4W,6W
D.2W,3W
![]()
答案:C
解析:
解析:
|
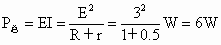
解析:由图可知: E=3V,
|
练习册系列答案
相关题目
题目内容
如图所示,直线A为电源的U-I图线,直线B为电阻R的U-I图线,用该电源和电阻组成的闭合电路,电源的输出功率和电路的总功率分别为
[ ]
![]()
|
解析:由图可知: E=3V,
|