题目内容

两个物体质量比为1:4,速度大小之比为4:1,则这两个物体的动能之比为( )
A.1:1
B.1:4
C.4:1
D.2:1
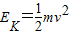
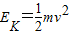
【答案】分析:根据动能的公式求出两个物体的动能之比.
解答:解:根据得,质量比为1:4,速度大小比为4:1,则动能之比为4:1.故C正确,A、B、D错误.
故选C.
点评:解决本题的关键掌握动能的公式
练习册系列答案
相关题目

违法和不良信息举报电话:027-86699610 举报邮箱:58377363@163.com

精英家教网