题目内容
如图所示,在直角坐标系的第一、四象限内有垂直于纸面的匀强磁场,第二、三象限内有沿x轴正方向的匀强电场,电场强度大小为E,y轴为磁场和电场的理想边界.一个质量为m,电荷量为e的质子经过x轴上A点时速度大小为v,速度方向与x轴负方向夹角为θ=30°.质子第一次到达y轴时速度方向与y轴垂直,第三次到达y轴的位置用B点表示,图中未画出.已知OA=L.(1)求磁感应强度大小和方向;
(2)求质子从A点运动至B点时间.
【答案】分析:(1)质子在第一象限内只受洛伦兹力作用做匀速圆周运动,根据洛伦兹力提供向心力公式及几何关系即可求解;
(2)先根据周期公式求出质子从A点出发到达y轴所用时间,质子进入匀强电场时速度方向与电场方向相反,先做匀减速直线运动,然后反向做匀加速直线运动,第二次经过y轴进入匀强磁场,根据匀变速直线运动规律求出此过程的时间,质子再次进入磁场后做匀速圆周运动,再求出第三次到达y轴的时间,三者之和为总时间.
解答:解:(1)质子在第一象限内只受洛伦兹力作用做匀速圆周运动,设半径为R,根据牛顿第二定律和洛伦兹力公式得:
①
由几何关系有:R=2L ②
联立①②解得:
方向垂直纸面向里
(2)质子在匀强磁场中做匀速圆周运动周期:
③
质子从A点出发到达y轴所用时间:
④
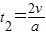
质子进入匀强电场时速度方向与电场方向相反,先做匀减速直线运动,然后反向做匀加速直线运动,第二次经过y轴进入匀强磁场,设粒子在电场中运动时间为t2,根据匀变速直线运动规律有:
⑤
根据牛顿第二定律有:
⑥
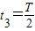
质子再次进入磁场后做匀速圆周运动,第三次到达y轴用时:
⑦
由③~⑦求得质子从A点运动至B点时间为:
答:(1)求磁感应强度大小为
,方向方向垂直纸面向里;
(2)质子从A点运动至B点时间为
.
点评:本题是带电粒子在组合场中运动的问题,要求同学们能正确分析粒子的受力情况确定运动情况,结合几何关系以及半径公式、周期公式求解,难度适中.
(2)先根据周期公式求出质子从A点出发到达y轴所用时间,质子进入匀强电场时速度方向与电场方向相反,先做匀减速直线运动,然后反向做匀加速直线运动,第二次经过y轴进入匀强磁场,根据匀变速直线运动规律求出此过程的时间,质子再次进入磁场后做匀速圆周运动,再求出第三次到达y轴的时间,三者之和为总时间.
解答:解:(1)质子在第一象限内只受洛伦兹力作用做匀速圆周运动,设半径为R,根据牛顿第二定律和洛伦兹力公式得:
由几何关系有:R=2L ②
联立①②解得:
(2)质子在匀强磁场中做匀速圆周运动周期:
质子从A点出发到达y轴所用时间:
质子进入匀强电场时速度方向与电场方向相反,先做匀减速直线运动,然后反向做匀加速直线运动,第二次经过y轴进入匀强磁场,设粒子在电场中运动时间为t2,根据匀变速直线运动规律有:
根据牛顿第二定律有:
质子再次进入磁场后做匀速圆周运动,第三次到达y轴用时:
由③~⑦求得质子从A点运动至B点时间为:
答:(1)求磁感应强度大小为
(2)质子从A点运动至B点时间为
点评:本题是带电粒子在组合场中运动的问题,要求同学们能正确分析粒子的受力情况确定运动情况,结合几何关系以及半径公式、周期公式求解,难度适中.
练习册系列答案
相关题目