题目内容
在“探究小车速度随时间变化的规律”的实验中,如图2所示给出了从0点开始,每5个点取一个计算点的纸带,其中1、2、3、4、5、6都为计数点,测得x1=1.40cm,x2=1.90cm,x3=2.38cm,x4=288cm,x5=3.39cm,x6=3.87cm,那么:V1= m/s;小车加速度a= m/s2.
【答案】分析:根据在匀变速直线匀速中时间中点的瞬时速度大小等于该过程中的平均速度大小可以求出某点的瞬时速度大小;利用逐差法可以求出小车的加速度大小.
解答:解:在匀变速直线匀速中时间中点的瞬时速度大小等于该过程中的平均速度大小,所以有:

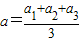
根据逐差法有:
①
②
③
④
联立①②③④带入数据解得:a=0.5m/s2.
故答案为:0.165;0.5.
点评:对于纸带的问题,我们要熟悉匀变速直线运动的特点和一些规律,提高应用基本规律解答实验问题的能力.
解答:解:在匀变速直线匀速中时间中点的瞬时速度大小等于该过程中的平均速度大小,所以有:
根据逐差法有:
联立①②③④带入数据解得:a=0.5m/s2.
故答案为:0.165;0.5.
点评:对于纸带的问题,我们要熟悉匀变速直线运动的特点和一些规律,提高应用基本规律解答实验问题的能力.
练习册系列答案
相关题目
| A、打点计时器不一定要使用交流电 | B、在释放小车前,小车应紧挨在打点计时器旁 | C、应先接通电源,待打点计时器开始打点后再释放小车 | D、要在小车到达定滑轮前使小车停止运动 |