题目内容

如图所示,光滑轨道上,小车A、B用轻弹簧连接,将弹簧压缩后用细绳系在A、B上,然后使A、B以速度沿轨道向右运动,运动中细绳突然断开,当弹簧第一次恢复到自然长度时,A的速度刚好为0,已知A、B的质量分别为,且.求:

(1)被压缩的弹簧具有的弹性势能Ep.

(2)试定量分析、讨论在以后的运动过程中,小车B有无速度为0的时刻?

答案:
解析:

(1)设弹簧第一次恢复自然长度时B的速度为

以A、B弹簧为系统动量守恒

机械能守恒:

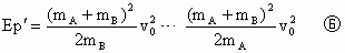
由①、②解出Ep=  ③

(2)设以后运动过程中B的速度为0时,A的速度为,此时弹簧的弹性势能为,用动量守恒

  ④

机械能守恒

由④、⑤解出

因为所以<0

弹性势能小于0是不可能的,所以B的速度没有等于0的时刻


练习册系列答案
相关题目

违法和不良信息举报电话:027-86699610 举报邮箱:58377363@163.com

精英家教网