题目内容

做匀加速直线运动的物体,先后经过A、B两点时的速度分别为v和7v,则(  )

A .前一半位移的平均速度是2.5v      B .前一半时间的平均速度是3v

C .后一半时间的平均速度是4v       D .后一半位移的平均速度是6v

 

【答案】

D

【解析】

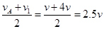
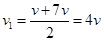
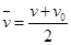
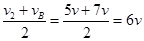
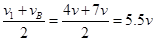
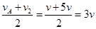
试题分析:设物体中间时刻的速度为v1,则,所以前一半时间的平均速度为,后一半时间的平均速度为,故选项BC错误;设中间位置的速度为v2,由可知:,解得:,所以前一半位移的平均速度为,后一半位移的平均速度为,故选项A错误D正确.

考点:考查运动学规律的应用,注意平均速度仅适用于匀变速直线运动.

 

练习册系列答案
相关题目

违法和不良信息举报电话:027-86699610 举报邮箱:58377363@163.com

精英家教网