题目内容

某物体由静止开始,在第1、3、5……等奇数秒内作加速度为的匀加速直线运动;第2、4、6……偶数秒内作以前一奇数秒末的速度作匀速直线运动,问:经过多少时间,物体位移的大小为40.25m?

答案:8.5s
解析:

这是一道匀变速和匀速交替进行的问题,由于在vt图像上可求出运动物体在一段时间的位移及对应的该段时间,故可用vt图求解本题.

作出物体在各奇数秒内,偶数秒内的vt图象,如图所示.由于速度图线所包围的面积等于运动物体位移大小,从图可知,相邻的偶数秒内和奇数秒内的面积之差为一恒量.已知相邻的偶数秒和奇数秒之间的时间差,故这一恒量为:

物体在第1秒内的位移为:

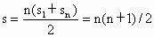
所以物体在第n秒内的位移是一个以,为首项,为公差的等差数列,第n秒的位移:

n秒内的位移:

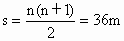
依题意有:.得

n=8时,.在8s9s中加速速动位移:

解得:t=0.5s

函数图象可以把物理规律简洁地表达出来,可以说函数图象是物理学优美的语言.如运动学中的st图象、vt等都含有丰富的物理信息,借助于图象解题,过程往往简洁得令人惊诧.


练习册系列答案
相关题目

违法和不良信息举报电话:027-86699610 举报邮箱:58377363@163.com

精英家教网