题目内容

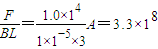
考虑一种具有1.0×104N驱动力的电气火车的设计方案,火车由地磁场的竖直分量作用在导体轮轴上的力来驱动,为了产生这个力,电流顺着一条铁轨流进导电车轮,通过轮轴再流过另一导电车轮,然后通过另一条铁轨回到电源.设地磁场的竖直分量为1.0×10-5T,轮轴的长为3.0m,则铁轨中需要    A的电流才能满足设计要求,这种方案在现实中可行吗?为什么?   
【答案】分析:根据安培力的大小公式求出电流的大小.
解答:解:因为安培力F=BIL,当安培力等于驱动力时,电气火车才能行使,则I=A.
该方案不可行,因为电流太大,在铁轨上消耗的电能太多.
故答案为:3.3×108、不行,因为铁轨损耗的电能大多.
点评:本题考查安培力大小公式的基本运用,以及会根据左手定则判断安培力的方向.
练习册系列答案
相关题目
(2003?肇庆模拟)根据量子理论,光子具有动量.光子的动量等于光子的能量除以光速,即P=E/c.光照射到物体表面并被反射时,会对物体产生压强,这就是“光压”.光压是光的粒子性的典型表现.光压的产生机理如同气体压强:由大量气体分子与器壁的频繁碰撞产生了持续均匀的压力,器壁在单位面积上受到的压力就是气体的压强.
(1)激光器发出的一束激光的功率为P,光束的横截面积为S.当该激光束垂直照射在物体表面时,试计算单位时间内到达物体表面的光子的总动量.
(2)若该激光束被物体表面完全反射,试求出其在物体表面引起的光压表达式.
(3)设想利用太阳的光压将物体送到太阳系以外的空间去,当然这只须当太阳对物体的光压超过了太阳对物体的引力才行.现如果用一种密度为1.0×103kg/m3的物体做成的平板,它的刚性足够大,则当这种平板厚度较小时,它将能被太阳的光压送出太阳系.试估算这种平板的厚度应小于多少(计算结果保留二位有效数字)?设平板处于地球绕太阳运动的公转轨道上,且平板表面所受的光压处于最大值,不考虑太阳系内各行星对平板的影响.已知地球公转轨道上的太阳常量为1.4×103J/m2?s(即在单位时间内垂直辐射在单位面积上的太阳光能量),地球绕太阳公转的加速度为5.9×10-3m/s2

违法和不良信息举报电话:027-86699610 举报邮箱:58377363@163.com

精英家教网