题目内容

如图所示为研究电子枪中电子在电场中运动的简化模型示意图.在Oxy平面的ABCD区域内,存在两个场强大小均为E的匀强电场Ⅰ和Ⅱ,两电场的边界均是边长为L的正方形(不计电子所受重力).

(1)在该区域AB边的中点处由静止释放电子,求电子离开ABCD区域的位置.

(2)在电场Ⅰ区域内适当位置由静止释放电子,电子恰能从ABCD区域左下角D处离开,求所有释放点的位置.

(3)若将左侧电场II整体水平向右移动L/n(n≥1),仍使电子从ABCD区域左下角D处离开(D不随电场移动),求在电场I区域内由静止释放电子的所有位置.

答案:
解析:

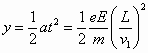
  解析:(1)(5分)设电子的质量为m,电量为e,电子在电场I中做匀加速直线运动,出区域Ⅰ时的为v0,此后电场Ⅱ做类平抛运动,假设电子从CD边射出,出射点纵坐标为y,有

  

  

  解得y=,所以原假设成立,即电子离开ABCD区域的位置坐标为(-2 L)

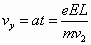
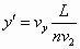
  (2)(5分)设释放点在电场区域Ⅰ中,其坐标为(xy),在电场Ⅰ中电子被加速到v1,然后进入电场Ⅱ做类平抛运动,并从D点离开,有

  

  

  解得xy=,即在电场I区域内满足方程的点即为所求位置.

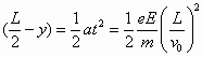
  (3)(4分)设电子从(xy)点释放,在电场Ⅰ中加速到v2,进入电场Ⅱ后做类平抛运动,在高度为处离开电场Ⅱ时的情景与(2)中类似,然后电子做匀速直线运动,经过D点,则有

  

  

  

  解得,即在电场Ⅰ区域内满足方程的点即为所求位置


练习册系列答案
相关题目

违法和不良信息举报电话:027-86699610 举报邮箱:58377363@163.com

精英家教网