题目内容

如图所示,质量为M=0.99kg的滑块放在光滑的圆弧轨道的B端,质量m=0.01kg的子弹以速度=100m/s击中滑块,并留在其中,已知圆弧轨道AB的半径R=10m,求滑块从开始运动到返回B处所用时间t.(g取10m/)

答案:
解析:

  解:设滑块从开始运动到返回B所用的时间为t,子弹击中木块在水平方向上动量守恒,有:

      =(m+M)v

  可得  v=×100m/s=1m/s,

  设子弹与木块可以上升的最大高度为h,根据机械能守恒定律,有:

     (M+m)gh=(m+M),得:h==0.2m.

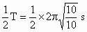
  由于hR,故小球运动可以等效为一单摆运动,R为等效摆长,根据T=2π得:

     t==3.14s.


练习册系列答案
相关题目

违法和不良信息举报电话:027-86699610 举报邮箱:58377363@163.com

精英家教网