题目内容

如图所示,AB是一段位于竖直平面内的光滑轨道,高度为h,末端B处的切线方向水平.一个质量为m的小物体P从轨道顶端A处由静止释放,滑到B端后飞出,落到地面上的C点,轨迹如图中虚线BC所示.已知它在空中运动的水平位移OCl

现在轨道下方紧贴B点安装一水平传送带,传送带的右端与B的距离为l/2.当传送带静止时,让P再次从A点由静止释放,它离开轨道并在传送带上滑行后从右端水平飞出,仍然落在地面的C点.当驱动轮转动带动传送带以速度v匀速向右运动时(其他条件不变),P的落地点为D.不计空气阻力.

(1)求P滑至B点时的速度大小;

(2)求P与传送带之间的动摩擦因数μ;

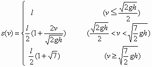
(3)写出OD间的距离s随速度v变化的函数关系式.

答案:
解析:

  解:(1)物体PAB轨道上滑动时,物体的机械能守恒,根据机械能守恒定律

  

  得物体P滑到B点的速度为

  (2)当没有传送带时,物体离开B点后作平抛运动,运动时间为t

  t

  当B点下方的传送带静止时,物体从传送带右端水平抛出,落地的时间也为t,水平位移为,因此物体从传送带右端抛出的速度v1.②

  根据动能定理,物体在传送带上滑动时,有

  

  解出物体与传送带之间的动摩擦因数为

  

  (3)当传送带向右运动时,若传送带的速度vv1,即v时,物体在传送带上一直作匀减速运动,离开传送带的速度仍为v1,落地的水平位移为,即sl;②

  当传送带的速度v时,物体将会在传送带上做一段匀变速运动.如果尚未到达传送带右端,速度即与传送带速度相同,此后物体将做匀速运动,而后以速度v离开传送带.v的最大值v2为物体在传送带上一直加速而达到的速度,即

  

  由此解得v2.①

  当vv2,物体将以速度v2离开传送带,因此得OD之间的距离为

  .②

  当v1vv2,即时,物体从传送带右端飞出时的速度为vOD之间的距离为.①

  综合以上的结果,得出OD间的距离s随速度v变化的函数关系式为

  


提示:

重点:重要物理过程模型(传送带)的理解;能量思想的理解与应用;复杂物理过程的分析


练习册系列答案
相关题目

违法和不良信息举报电话:027-86699610 举报邮箱:58377363@163.com

精英家教网