题目内容

假如地球自转速度达到赤道上的物体“飘”起(即完全失重),那么估算一下,地球上一天等于多少小时(单位用h表示)?(地球半径取6.4×106 m,g=9.8 m/s2,运算结果取两位有效数字).

答案:
解析:

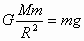
  解:当地球自转速度达到赤道上的物体“飘”起时,即赤道上的物体m所受的万有引力完全用来提供做圆周运动的向心力,设地球质量为M,地球半径为R,一天的时间为T即自转周期,则:

  ;4分

  又有:;4分

  联立得:;2分

  代入数据得:;2分


练习册系列答案
相关题目

违法和不良信息举报电话:027-86699610 举报邮箱:58377363@163.com

精英家教网