ÌâÄ¿ÄÚÈÝ

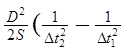
(4·Ö)ΪÁË̽¾¿¼ÓËÙ¶ÈÓëÁ¦µÄ¹ØÏµ£¬Ê¹ÓÃÈçͼËùʾµÄÆøµæµ¼¹ì×°ÖýøÐÐʵÑ飮ÆäÖÐG1¡¢G2ΪÁ½¸ö¹âµçÃÅ£¬ËüÃÇÓëÊý×Ö¼ÆÊ±Æ÷ÏàÁ¬£¬µ±»¬ÐÐÆ÷ͨ¹ýGl¡¢G2¹âµçÃÅʱ£¬¹âÊø±»ÕÚµ²µÄʱ¼ä¡÷t1¡¢¡÷t2¶¼¿ÉÒÔ±»²âÁ¿²¢¼Ç¼£®»¬ÐÐÆ÷Á¬Í¬ÉÏÃæ¹Ì¶¨µÄÒ»ÌõÐε²¹âƬµÄ×ÜÖÊÁ¿ÎªM£¬µ²¹âƬ¿í¶ÈΪD£¬¹âµçÃżä¾àÀëΪs£¬Ç£ÒýíÀÂëµÄÖÊÁ¿Îªm¡£»Ø´ðÏÂÁÐÎÊÌ⣺

(1)ÈôÈ¡M="0.4" kg£¬¸Ä±ämµÄÖµ£¬½øÐжà´ÎʵÑ飬ÒÔÏÂmµÄȡֵ²»ºÏÊʵÄÒ»¸öÊÇ_____________£®£¨Ìî´ð°¸Ç°µÄ×Öĸ£©
A£® 5 g        B£® 15 g       C£® 40g    D£® 400 g
(2)ÔÚ´ËʵÑéÖУ¬ÐèÒª²âµÃÿһ¸öÇ£ÒýÁ¦¶ÔÓ¦µÄ¼ÓËÙ¶È£¬ÆäÖÐÇóµÃµÄ¼ÓËٶȵıí´ïʽΪ:_______________________. (Óá÷t1¡¢¡÷t2¡¢D¡¢S±íʾ)

£¨1£©D    £¨2£©

½âÎö

Á·Ï°²áϵÁдð°¸
Ïà¹ØÌâÄ¿

£¨¢ñ£©(8·Ö)ijÎïÀíÐËȤС×éÔÚÒ»´Î̽¾¿ÊµÑé»î¶¯ÖУ¬Òª²âÁ¿»¬¿éÓëľ°åÖ®¼äµÄ¶¯Ä¦²ÁÒòÊý£®ÊµÑé×°ÖÃÈçͼËùʾ£¬Ò»±íÃæ´Ö²ÚµÄľ°å¹Ì¶¨ÔÚˮƽ×ÀÃæÉÏ£¬ÓÒ¶Ë×°Óж¨»¬ÂÖ£»Ä¾°åÉÏÓÐÒ»»¬¿é£¬Æä×ó¶ËÓë´©¹ýµç´Å´òµã¼ÆÊ±Æ÷µÄÖ½´øÏàÁ¬£¬ÓÒ¶Ëͨ¹ý¿ç¹ý¶¨»¬ÂÖµÄϸÏßÓëÍÐÅÌÁ¬½Ó£®´òµã¼ÆÊ±Æ÷ʹÓõĽ»Á÷µçԴƵÂÊΪ50 Hz£®¿ªÊ¼ÊµÑéʱ£¬ÔÚÍÐÅÌÖзÅÈëÊÊÁ¿íÀÂ룬»¬¿é¿ªÊ¼×öÔȼÓËÙÖ±ÏßÔ˶¯£¬ÔÚÖ½´øÉÏ´ò³öһϵÁе㣮


£¨1£©ÉÏͼ¸ø³öµÄÊÇʵÑéÖлñȡֽ´øµÄÒ»²¿·Ö£º0¡¢1¡¢2¡¢3¡¢4¡¢5¡¢6ÊǼÆÊýµã£¬Ã¿ÏàÁÚÁ½¼ÆÊýµã¼ä»¹ÓÐ4¸öµãδ»­³ö£¬Óÿ̶ȳ߲âÁ¿³ö¼ÆÊýµã¼äµÄ¾àÀëÈçͼËùʾ£®¸ù¾ÝͼÖÐÊý¾Ý¿ÉÒÔ¼ÆËã³ö£ºµã¡°2¡±µÄ˲ʱËÙ¶È=            ¼ÓËÙ¶È=                    £¨±£ÁôÈýλÓÐЧÊý×Ö£©£®
£¨2£©ÎªÁ˲âÁ¿»¬¿éÓëľ°åÖ®¼äµÄ¶¯Ä¦²ÁÒòÊý£¬¸ÃС×éÓÃÌìÆ½²â³öÁË»¬¿éµÄÖÊÁ¿£¬ÍÐÅ̺ÍíÀÂëµÄ×ÜÖÊÁ¿¡£ÈôÓÃÍÐÅ̺ÍíÀÂëµÄ×ÜÖØÁ¦À´´úÌæÏ¸Éþ¶Ô»¬¿éµÄÀ­Á¦£¬Ôò»¬¿éÓëľ°å¼äµÄ¶¯Ä¦²ÁÒòÊý£½                    £¨ÓÃg¡¢a¡¢¡¢µÈ×Öĸ±íʾ£©£®ÓëÕæÊµÖµÏà±È£¬²âÁ¿µÄ¶¯Ä¦²ÁÒòÊý              £¨Ìî¡°Æ«´ó¡±»ò¡°Æ«Ð¡¡±£©£®
£¨¢ò£©.(10·Ö)Ó÷ü°²·¨²âÁ¿Ò»¸ö×èֵԼΪ20¦¸µÄδ֪µç×èRxµÄ×èÖµ£®
¢ÙÔÚÒÔϱ¸Ñ¡Æ÷²ÄÖУ¬µçÁ÷±íӦѡÓÃ_____£¬µçѹ±íӦѡÓÃ______£¬»¬¶¯±ä×èÆ÷ӦѡÓÃ_______£¨ÌîдÆ÷²ÄµÄ×Öĸ´úºÅ£©£»

µçÔ´E£¨µç¶¯ÊÆ3V¡¢ÄÚ×è¿ÉºöÂÔ²»¼Æ£©
µçÁ÷±íA1£¨Á¿³Ì0 ¡« 50 mA£¬ÄÚ×èÔ¼12 ¦¸£©
µçÁ÷±íA2£¨Á¿³Ì0 ¡« 3 A£¬ÄÚ×èÔ¼0.12 ¦¸£©
µçѹ±íV1£¨Á¿³Ì0 ¡« 3V£¬ÄÚ×èÔ¼3 k¦¸£©
µçѹ±íV2£¨Á¿³Ì0 ¡« 15V£¬ÄÚ×èÔ¼15 k¦¸£©
»¬¶¯±ä×èÆ÷R1£¨0 ¡« 10 ¦¸£¬ÔÊÐí×î´óµçÁ÷2.0 A£©
»¬¶¯±ä×èÆ÷R2£¨0 ¡« 1000 ¦¸£¬ÔÊÐí×î´óµçÁ÷0.5 A£©
¶¨Öµµç×èR£¨30 ¦¸£¬ÔÊÐí×î´óµçÁ÷1.0 A£©£¬¿ª¹Ø¡¢µ¼ÏßÈô¸É
¢Ú ÇëÔÚÓұߵÄÐéÏß¿òÖл­³ö²âÁ¿µç×èRxµÄʵÑéµç·ͼ£¨ÒªÇóËù²âÁ¿ÖµµÄ±ä»¯·¶Î§¾¡¿ÉÄÜ´óһЩ£¬ËùÓÃÆ÷²ÄÓöÔÓ¦µÄ·ûºÅ±ê³ö£©£®
¢Û ij´Î²âÁ¿ÖУ¬µçѹ±í¶ÁÊýΪUʱ£¬µçÁ÷±í¶ÁÊýΪI£¬Ôò¼ÆËã´ý²âµç×è×èÖµµÄ±í´ïʽRx =                               

ʵÑ飨¹²18·Ö£©
I£®£¨12·Ö£©Ä³ÎïÀíÐËȤС×éÔÚÒ»´Î̽¾¿»î¶¯ÖУ¬Òª²âÁ¿»¬¿éÓëľ°åÖ®¼äµÄ¶¯Ä¦²ÁÒòÊý£®ÊµÑé×°ÖÃÈçͼËùʾ£¬Ò»±íÃæ´Ö²ÚµÄľ°å¹Ì¶¨ÔÚˮƽ×ÀÃæÉÏ£¬ÓÒ¶Ë×°Óж¨»¬ÂÖ£»Ä¾°åÉÏÓÐÒ»»¬¿é£¬Æä×ó¶ËÓë´©¹ýµç´Å´òµã¼ÆÊ±Æ÷µÄÖ½´øÏàÁ¬£¬ÓÒ¶Ëͨ¹ý¿ç¹ý¶¨»¬ÂÖµÄϸÏßÓëÍÐÅÌÁ¬½Ó£®´òµã¼ÆÊ±Æ÷ʹÓõĽ»Á÷µçԴƵÂÊΪ50 Hz£®¿ªÊ¼ÊµÑéʱ£¬ÔÚÍÐÅÌÖзÅÈëÊÊÁ¿íÀÂ룬»¬¿é¿ªÊ¼×öÔȼÓËÙÖ±ÏßÔ˶¯£¬ÔÚÖ½´øÉÏ´ò³öһϵÁе㣮


£¨1£©ÉÏͼ¸ø³öµÄÊÇʵÑéÖлñȡֽ´øµÄÒ»²¿·Ö£º0¡¢1¡¢2¡¢3¡¢4¡¢5¡¢6ÊǼÆÊýµã£¬Ã¿ÏàÁÚÁ½¼ÆÊýµã¼ä»¹ÓÐ4¸ö´òµã£¨Í¼ÖÐδ±ê³ö£©£¬Óÿ̶ȳ߲âÁ¿³ö¼ÆÊýµã¼äµÄ¾àÀëÈçͼËùʾ£®¸ù¾ÝͼÖÐÊý¾Ý¼ÆËãµÄ¼ÓËÙ¶È=          £¨±£ÁôÈýλÓÐЧÊý×Ö£©£®
£¨2£©Çë»Ø´ðÏÂÁÐÁ½¸öÎÊÌ⣺
¢Ù ΪÁ˲âÁ¿»¬¿éÓëľ°åÖ®¼äµÄ¶¯Ä¦²ÁÒòÊý£¬»¹Ðè²âÁ¿µÄÎïÀíÁ¿ÊÇ          £¨Ìîд×Öĸ´úºÅ£©
A£®Ä¾°åµÄ³¤¶È
B£®Ä¾°åµÄÖÊÁ¿
C£®»¬¿éµÄÖÊÁ¿ 
D£®ÍÐÅ̺ÍíÀÂëµÄ×ÜÖÊÁ¿
E£®»¬¿éµÄÔ˶¯Ê±¼ät
¢Ú Óû²âÁ¿¢ÙÖÐËùÑ¡¶¨µÄÎïÀíÁ¿£¬ËùÐèÒªµÄʵÑéÆ÷²ÄÊÇ               £®
£¨3£©ÊµÑéʱ£¬ÓÃÍÐÅ̺ÍíÀÂëµÄ×ÜÖØÁ¦À´´úÌæÏ¸Éþ¶Ô»¬¿éµÄÀ­Á¦£¬Ôò»¬¿éÓëľ°å¼äµÄ¶¯Ä¦²ÁÒòÊý£½                    £¨ÓÃL¡¢g¡¢a¡¢¡¢¡¢¡¢tÖÐËùÐèÒªµÄ×Öĸ±íʾ£©£®ÓëÕæÊµÖµÏà±È£¬²âÁ¿µÄ¶¯Ä¦²ÁÒòÊý              £¨Ìî¡°Æ«´ó¡±»ò¡°Æ«Ð¡¡±£©£®
¢ò£®£¨6·Ö£©ÔÚ¡°»¥³É½Ç¶ÈµÄÁ½¸öÁ¦µÄºÏ³É¡±ÊµÑéÖУ¬ÈçͼËùʾ£¬ÓÃABÁ½µ¯»É³ÓÀ­ÏðƤÌõ½áµãO£¬Ê¹ÆäλÓÚE´¦£¬´Ëʱ+=90¡ã£¬È»ºó±£³ÖAµÄ¶ÁÊý²»±ä£¬µ±½ÇÓÉͼÖÐËùʾµÄÖµÖð½¥¼õСʱ£¬ÒªÊ¹½áµãÈÔÔÚE´¦£¬¿É²ÉÈ¡µÄ°ì·¨ÊÇ       

A£®Ôö´óBµÄ¶ÁÊý£¬¼õС½Ç
B£®¼õСBµÄ¶ÁÊý£¬¼õС½Ç
C£®¼õСBµÄ¶ÁÊý£¬Ôö´ó½Ç
D£®Ôö´óBµÄ¶ÁÊý£¬Ôö´ó½Ç

ʵÑ飨¹²18·Ö£©

I£®£¨12·Ö£©Ä³ÎïÀíÐËȤС×éÔÚÒ»´Î̽¾¿»î¶¯ÖУ¬Òª²âÁ¿»¬¿éÓëľ°åÖ®¼äµÄ¶¯Ä¦²ÁÒòÊý£®ÊµÑé×°ÖÃÈçͼËùʾ£¬Ò»±íÃæ´Ö²ÚµÄľ°å¹Ì¶¨ÔÚˮƽ×ÀÃæÉÏ£¬ÓÒ¶Ë×°Óж¨»¬ÂÖ£»Ä¾°åÉÏÓÐÒ»»¬¿é£¬Æä×ó¶ËÓë´©¹ýµç´Å´òµã¼ÆÊ±Æ÷µÄÖ½´øÏàÁ¬£¬ÓÒ¶Ëͨ¹ý¿ç¹ý¶¨»¬ÂÖµÄϸÏßÓëÍÐÅÌÁ¬½Ó£®´òµã¼ÆÊ±Æ÷ʹÓõĽ»Á÷µçԴƵÂÊΪ50 Hz£®¿ªÊ¼ÊµÑéʱ£¬ÔÚÍÐÅÌÖзÅÈëÊÊÁ¿íÀÂ룬»¬¿é¿ªÊ¼×öÔȼÓËÙÖ±ÏßÔ˶¯£¬ÔÚÖ½´øÉÏ´ò³öһϵÁе㣮

£¨1£©ÉÏͼ¸ø³öµÄÊÇʵÑéÖлñȡֽ´øµÄÒ»²¿·Ö£º0¡¢1¡¢2¡¢3¡¢4¡¢5¡¢6ÊǼÆÊýµã£¬Ã¿ÏàÁÚÁ½¼ÆÊýµã¼ä»¹ÓÐ4¸ö´òµã£¨Í¼ÖÐδ±ê³ö£©£¬Óÿ̶ȳ߲âÁ¿³ö¼ÆÊýµã¼äµÄ¾àÀëÈçͼËùʾ£®¸ù¾ÝͼÖÐÊý¾Ý¼ÆËãµÄ¼ÓËÙ¶È=          £¨±£ÁôÈýλÓÐЧÊý×Ö£©£®

£¨2£©Çë»Ø´ðÏÂÁÐÁ½¸öÎÊÌ⣺

¢Ù ΪÁ˲âÁ¿»¬¿éÓëľ°åÖ®¼äµÄ¶¯Ä¦²ÁÒòÊý£¬»¹Ðè²âÁ¿µÄÎïÀíÁ¿ÊÇ          £¨Ìîд×Öĸ´úºÅ£©

A£®Ä¾°åµÄ³¤¶È

B£®Ä¾°åµÄÖÊÁ¿

C£®»¬¿éµÄÖÊÁ¿ 

D£®ÍÐÅ̺ÍíÀÂëµÄ×ÜÖÊÁ¿

E£®»¬¿éµÄÔ˶¯Ê±¼ät

¢Ú Óû²âÁ¿¢ÙÖÐËùÑ¡¶¨µÄÎïÀíÁ¿£¬ËùÐèÒªµÄʵÑéÆ÷²ÄÊÇ               £®

£¨3£©ÊµÑéʱ£¬ÓÃÍÐÅ̺ÍíÀÂëµÄ×ÜÖØÁ¦À´´úÌæÏ¸Éþ¶Ô»¬¿éµÄÀ­Á¦£¬Ôò»¬¿éÓëľ°å¼äµÄ¶¯Ä¦²ÁÒòÊý£½                    £¨ÓÃL¡¢g¡¢a¡¢¡¢¡¢¡¢tÖÐËùÐèÒªµÄ×Öĸ±íʾ£©£®ÓëÕæÊµÖµÏà±È£¬²âÁ¿µÄ¶¯Ä¦²ÁÒòÊý              £¨Ìî¡°Æ«´ó¡±»ò¡°Æ«Ð¡¡±£©£®

¢ò£®£¨6·Ö£©ÔÚ¡°»¥³É½Ç¶ÈµÄÁ½¸öÁ¦µÄºÏ³É¡±ÊµÑéÖУ¬ÈçͼËùʾ£¬ÓÃABÁ½µ¯»É³ÓÀ­ÏðƤÌõ½áµãO£¬Ê¹ÆäλÓÚE´¦£¬´Ëʱ+=90¡ã£¬È»ºó±£³ÖAµÄ¶ÁÊý²»±ä£¬µ±½ÇÓÉͼÖÐËùʾµÄÖµÖð½¥¼õСʱ£¬ÒªÊ¹½áµãÈÔÔÚE´¦£¬¿É²ÉÈ¡µÄ°ì·¨ÊÇ       

A£®Ôö´óBµÄ¶ÁÊý£¬¼õС½Ç

B£®¼õСBµÄ¶ÁÊý£¬¼õС½Ç

C£®¼õСBµÄ¶ÁÊý£¬Ôö´ó½Ç

D£®Ôö´óBµÄ¶ÁÊý£¬Ôö´ó½Ç

 

Î¥·¨ºÍ²»Á¼ÐÅÏ¢¾Ù±¨µç»°£º027-86699610 ¾Ù±¨ÓÊÏ䣺58377363@163.com

¾«Ó¢¼Ò½ÌÍø