题目内容
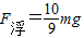
为了研究鱼所受水的阻力与其形状的关系,小明同学用石蜡做成两条质量均为m、形状不同的“A鱼”和“B鱼”,如图所示.在高出水面H处分别静止释放“A鱼”和“B鱼”,“A鱼”竖直下潜hA后速度减小为零,“B鱼”竖直下潜hB后速度减小为零.“鱼”在水中运动时,除受重力外,还受到浮力和水的阻力.已知“鱼”在水中所受浮力是其重力的(1)“A鱼”入水瞬间的速度VA
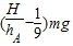
(2)“A鱼”在水中运动时所受阻力fA
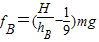
(3)“A鱼”和“B鱼”在水中运动时所受阻力之比fA:fB.
【答案】分析:(1)A鱼入水前做自由落体运动,根据速度位移公式列式求解;
(2)对A鱼入水过程运用动能定理列式求解;
(3)对B鱼从释放到停止整个过程运用动能定理列式求解阻力,然后求解“A鱼”和“B鱼”在水中运动时所受阻力之比.
解答:解:(1)A鱼入水前做自由落体运动,根据速度位移公式,有:

解得:

(2)A鱼入水后,受重力、浮力和阻力,根据动能定理,有:
mghA-fAhA-F浮hA=0-
其中:
解得:

(3)同理

解得

答:(1)“A鱼”入水瞬间的速度为
;
(2)“A鱼”在水中运动时所受阻力为
;
(3)“A鱼”和“B鱼”在水中运动时所受阻力之比
.
点评:本题关键是明确鱼的运动,然后根据动能定理多次列式求解;也可以根据运动学规律和牛顿第二定律列式求解,会使问题复杂化.
(2)对A鱼入水过程运用动能定理列式求解;
(3)对B鱼从释放到停止整个过程运用动能定理列式求解阻力,然后求解“A鱼”和“B鱼”在水中运动时所受阻力之比.
解答:解:(1)A鱼入水前做自由落体运动,根据速度位移公式,有:
解得:
(2)A鱼入水后,受重力、浮力和阻力,根据动能定理,有:
mghA-fAhA-F浮hA=0-
其中:
解得:
(3)同理
解得
答:(1)“A鱼”入水瞬间的速度为
(2)“A鱼”在水中运动时所受阻力为
(3)“A鱼”和“B鱼”在水中运动时所受阻力之比
点评:本题关键是明确鱼的运动,然后根据动能定理多次列式求解;也可以根据运动学规律和牛顿第二定律列式求解,会使问题复杂化.
练习册系列答案
相关题目