ÌâÄ¿ÄÚÈÝ
Èçͼ¼×Ëùʾ£¬¿Õ¼ä´æÔÚB=0.5T¡¢·½ÏòÊúÖ±ÏòϵÄÔÈÇ¿´Å³¡£¬MN¡¢PQÊÇ´¦ÓÚÍ¬Ò»Ë®Æ½ÃæÄÚÏ໥ƽÐеĴֲڳ¤Ö±µ¼¹ì£¬¼ä¾àL=0.2m£¬RÊÇÁ¬½ÓÔÚµ¼¹ìÒ»¶ËµÄµç×裬abÊÇ¿ç½ÓÔÚµ¼¹ìÉÏÖÊÁ¿Îªm=0.1kgµÄµ¼Ìå°ô£®´ÓÁãʱ¿Ì¿ªÊ¼£¬Í¨¹ýһСÐ͵綯»ú¶Ôab°ôÊ©¼ÓÒ»¸öÇ£ÒýÁ¦£¬·½ÏòˮƽÏò×ó£¬Ê¹Æä´Ó¾²Ö¹¿ªÊ¼Ñص¼¹ì×ö¼ÓËÙÔ˶¯£¬´Ë¹ý³ÌÖаôʼÖÕ±£³ÖÓëµ¼¹ì´¹Ö±ÇÒ½Ó´¥Á¼ºÃ£®Í¼ÒÒÊǰôµÄv-tͼÏ󣬯äÖÐOA¶ÎÊÇÖ±Ïߣ¬AC¶ÎÊÇÇúÏߣ¬CE¶ÎÊÇÆ½ÐÐÓÚtÖáµÄÖ±Ïߣ¬Ð¡Ð͵綯»úÔÚ12sÄ©´ïµ½¶î¶¨¹¦ÂÊP=4.5W£¬´Ëºó±£³Ö¹¦Âʲ»±ä£¬ÔÚt=17sʱ£¬µ¼Ìå°ô´ïµ½×î´óËÙ¶È10m/s£®³ýRÍ⣬ÆäÓಿ·Öµç×è¾ù²»¼Æ£¬g=10m/s2£®£¨1£©Çóµ¼Ìå°ôabÔÚ0-12sÄڵļÓËÙ¶È´óС£»
£¨2£©Çóµ¼Ìå°ôÓëµ¼¹ì¼äµÄ¶¯Ä¦²ÁÒòÊý¦Ì¼°µç×èRµÄ×èÖµ£»
£¨3£©Èôµ¼Ìå°ôab´Ó0-17sÄÚ¹²·¢ÉúÎ»ÒÆ102m£¬ÊÔÇó12-17sÄÚ£¬RÉϲúÉúµÄ½¹¶úÈÈÁ¿ÊǶàÉÙ£®
¡¾´ð°¸¡¿·ÖÎö£º£¨1£©Í¼ÏóÖÐ0-12sÄÚÎïÌå×öÔȱäËÙÖ±ÏßÔ˶¯£¬ÔòÓɸöÎͼÏóÖеÄбÂÊ¿ÉÇóµÃ¼ÓËÙ¶È£»
£¨2£©Óɵ¼ÌåÇиî´Å¸ÐÏßʱµÄ¸ÐÓ¦µç¶¯ÊƱí´ïʽ¿ÉÇóµÃµç¶¯ÊÆ´óС£¬ÓÉÅ·Ä·¶¨ÂÉ¿ÉÇóµÃ¸ÐÓ¦µçÁ÷£¬Ôò¿ÉÇóºÍ°²ÅàÁ¦£»ÓÉÅ£¶ÙµÚ¶þ¶¨Âɿɵóö¼ÓËٶȱí´ïʽ£»Í¬Àí¿ÉÇóµÃ17sʱµÄ¼ÓËٶȱí´ïʽ£¬ÁªÁ¢¼´¿ÉÇóµÃ¶¯Ä¦²ÁÒòËØ¼°µç×裻
£¨3£©ÓÉÎ»ÒÆ¹«Ê½¿ÉÇóµÃ12sÄÚµÄÎ»ÒÆ£¬ÔòÓɹ¦ÄܹØÏµ¿ÉÇóµÃRÉϲúÉúµÄÈÈÁ¿£®
½â´ð£º½â£º£¨1£©ÓÉͼÏóÖª12sÄ©µ¼Ìå°ôabµÄËÙ¶ÈΪv1=9m/s£¬
ÔÚ0-12sÄڵļÓËÙ¶È´óСΪ
m/s2=0.75m/s2
£¨2£©t1=12sʱ£¬µ¼Ìå°ôÖиÐÓ¦µç¶¯ÊÆÎª E1=BLv1
¸ÐÓ¦µçÁ÷
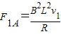
µ¼Ìå°ôÊܵ½µÄ°²ÅàÁ¦F1A=BI1L
¼´
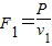
´Ëʱµç¶¯»úÇ£ÒýÁ¦Îª
ÓÉÅ£¶ÙµÚ¶þ¶¨ÂɵÃ

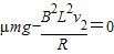
t2=17sʱ£¬µ¼Ìå°ôabµÄ×î´óËÙ¶ÈΪv2=10m/s£¬´Ëʱ¼ÓËÙ¶ÈΪÁ㣬ÔòÓÐ

ÁªÁ¢£¬´úÈëΪÊý¾Ý½âµÃ£º¦Ì=0.20£¬R=0.4¦¸
Ħ²ÁÒòÊýΪ0.20£»µç×èΪ0.4¦¸£»
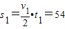
£¨3£©0-12sÄÚ£¬µ¼Ìå°ôÔȼÓËÙÔ˶¯µÄÎ»ÒÆ
m
12-17sÄÚ£¬µ¼Ìå°ôµÄÎ»ÒÆ s2=102-54=48m
ÓÉÄÜÁ¿ÊغãµÃ
´úÈëÊý¾Ý½âµÃRÉϲúÉúµÄÈÈÁ¿ Q=11.95 J
RÉϲúÉúµÄÈÈÁ¿Îª11.95J£®
µãÆÀ£º±¾Ì⿼²éµç´Å¸ÐÓ¦ÖеÄÄÜÁ¿¹ØÏµ£¬ÔÚ½âÌâÖÐҪעÒâ·ÖÎö¹ý³Ì£¬Í¨¹ý°®Á¦·ÖÎöÕÒ³öÁ¦ºÍÔ˶¯µÄ¹ØÏµ£»ÔÙ·ÖÎö¸÷Á¦µÄ×ö¹¦Çé¿ö£¬¿ÉÀûÓÃÄÜÁ¿Êغã»ò¹¦ÄܹØÏµÇó½â£®
£¨2£©Óɵ¼ÌåÇиî´Å¸ÐÏßʱµÄ¸ÐÓ¦µç¶¯ÊƱí´ïʽ¿ÉÇóµÃµç¶¯ÊÆ´óС£¬ÓÉÅ·Ä·¶¨ÂÉ¿ÉÇóµÃ¸ÐÓ¦µçÁ÷£¬Ôò¿ÉÇóºÍ°²ÅàÁ¦£»ÓÉÅ£¶ÙµÚ¶þ¶¨Âɿɵóö¼ÓËٶȱí´ïʽ£»Í¬Àí¿ÉÇóµÃ17sʱµÄ¼ÓËٶȱí´ïʽ£¬ÁªÁ¢¼´¿ÉÇóµÃ¶¯Ä¦²ÁÒòËØ¼°µç×裻
£¨3£©ÓÉÎ»ÒÆ¹«Ê½¿ÉÇóµÃ12sÄÚµÄÎ»ÒÆ£¬ÔòÓɹ¦ÄܹØÏµ¿ÉÇóµÃRÉϲúÉúµÄÈÈÁ¿£®
½â´ð£º½â£º£¨1£©ÓÉͼÏóÖª12sÄ©µ¼Ìå°ôabµÄËÙ¶ÈΪv1=9m/s£¬
ÔÚ0-12sÄڵļÓËÙ¶È´óСΪ
£¨2£©t1=12sʱ£¬µ¼Ìå°ôÖиÐÓ¦µç¶¯ÊÆÎª E1=BLv1
¸ÐÓ¦µçÁ÷
µ¼Ìå°ôÊܵ½µÄ°²ÅàÁ¦F1A=BI1L
¼´
´Ëʱµç¶¯»úÇ£ÒýÁ¦Îª
ÓÉÅ£¶ÙµÚ¶þ¶¨ÂɵÃ
t2=17sʱ£¬µ¼Ìå°ôabµÄ×î´óËÙ¶ÈΪv2=10m/s£¬´Ëʱ¼ÓËÙ¶ÈΪÁ㣬ÔòÓÐ
ÁªÁ¢£¬´úÈëΪÊý¾Ý½âµÃ£º¦Ì=0.20£¬R=0.4¦¸
Ħ²ÁÒòÊýΪ0.20£»µç×èΪ0.4¦¸£»
£¨3£©0-12sÄÚ£¬µ¼Ìå°ôÔȼÓËÙÔ˶¯µÄÎ»ÒÆ
12-17sÄÚ£¬µ¼Ìå°ôµÄÎ»ÒÆ s2=102-54=48m
ÓÉÄÜÁ¿ÊغãµÃ
´úÈëÊý¾Ý½âµÃRÉϲúÉúµÄÈÈÁ¿ Q=11.95 J
RÉϲúÉúµÄÈÈÁ¿Îª11.95J£®
µãÆÀ£º±¾Ì⿼²éµç´Å¸ÐÓ¦ÖеÄÄÜÁ¿¹ØÏµ£¬ÔÚ½âÌâÖÐҪעÒâ·ÖÎö¹ý³Ì£¬Í¨¹ý°®Á¦·ÖÎöÕÒ³öÁ¦ºÍÔ˶¯µÄ¹ØÏµ£»ÔÙ·ÖÎö¸÷Á¦µÄ×ö¹¦Çé¿ö£¬¿ÉÀûÓÃÄÜÁ¿Êغã»ò¹¦ÄܹØÏµÇó½â£®
Á·Ï°²áϵÁдð°¸
Ïà¹ØÌâÄ¿